ГОСТ Р 53548-2009 Посуда майоликовая. Технические условия
ГОСТ Р
Скачать ГОСТ в PDF или DOC бесплатно
Основная информация
Обозначение:
ГОСТ Р 53548-2009
Статус:
Отменен
Тип:
ГОСТ Р
Название русское:
Посуда майоликовая. Технические условия
Название английское:
Majolica ware. General specifications
Даты и сроки
Дата издания:
06-03-10
Дата введения в действие:
01-01-11
Дата завершения срока действия:
07-01-15
Применение и описание
Область и условия применения:
Настоящий стандарт распространяется на майоликовые посуду и изделия хозяйственного назначения, изготавливаемые из масс на основе беложгущихся и цветных глин, и устанавливает общие требования к продукции
Связи и замены
Заменяющий:
-
Изменения и переиздания
Список изменений:
№0 от (рег. ) «Дата введения перенесена» №0 от (рег. ) «Текстовое изменение; Изменено заглавие»
Описание стандарта
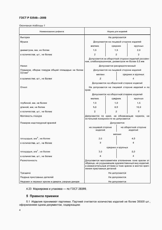
ГОСТ Р 53548-2009 Посуда майоликовая. Технические условия
Страницы стандарта













Приложение №2: Поправка к ГОСТ Р 53548-2009 Обозначение: Поправка к ГОСТ Р 53548-2009 Дата введения в действие: 13.07.2011

Приложение №3: Поправка к ГОСТ Р 53548-2009 Обозначение: Поправка к ГОСТ Р 53548-2009 Дата введения в действие: 12.07.2011
