ГОСТ Р 55410-2013 Огнеупоры. Химический анализ рентгенофлуоресцентным методом
ГОСТ Р
Скачать ГОСТ в PDF или DOC бесплатно
Основная информация
Обозначение:
ГОСТ Р 55410-2013
Статус:
Действует
Тип:
ГОСТ Р
Название русское:
Огнеупоры. Химический анализ рентгенофлуоресцентным методом
Название английское:
Refractory. Analysis by X-ray fluorescence (XRF)
Даты и сроки
Дата издания:
10-06-14
Дата введения в действие:
06-01-14
Дата завершения срока действия:
-
Применение и описание
Область и условия применения:
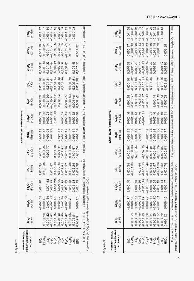
Настоящий стандарт устанавливает метод химического анализа огнеупоров и огнеупорного сырья рентгенофлуоресцентным методом анализа (XRF) с использованием образцов в виде плавлено-литых или прессованных дисков. Настоящий стандарт не распространяется на бескислородные огнеупоры, например, карбид кремния или нитриды
Связи и замены
Заменяющий:
-
Описание стандарта
ГОСТ Р 55410-2013 Огнеупоры. Химический анализ рентгенофлуоресцентным методом
Страницы стандарта




















































































