ГОСТ 10007-80 Фторопласт-4. Технические условия
ГОСТ
Скачать ГОСТ в PDF или DOC бесплатно
Основная информация
Обозначение:
ГОСТ 10007-80
Статус:
Действует
Тип:
ГОСТ
Название русское:
Фторопласт-4. Технические условия
Название английское:
Polytetrafluoroethylene. Specifications
Даты и сроки
Дата издания:
05-01-08
Дата введения в действие:
07-01-81
Дата завершения срока действия:
-
Применение и описание
Область и условия применения:
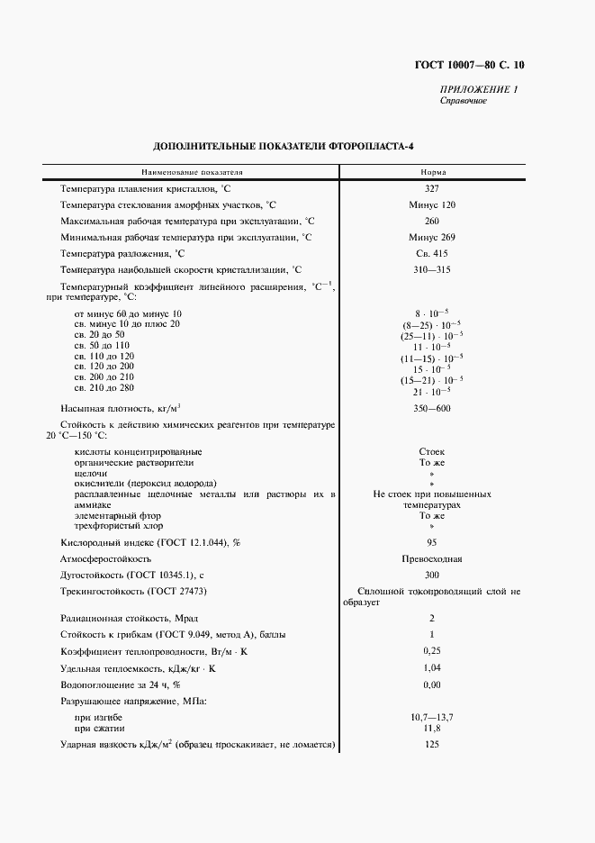
Настоящий стандарт распространяется на фторопласт-4, представляющий собой продукт полимеризации тетрафторэтилена. Фторопласт-4 предназначается для изготовления изделий, пленок, обладающих высокими диэлектрическими свойствами, стойкостью к сильным агрессивным средам и работающих при температуре до плюс 260 град. С. Настоящий стандарт устанавливает требования к фторопласту-4, изготовляемому для нужд народного хозяйства и экспорта
Связи и замены
Заменяющий:
-
Взамен:
ГОСТ 10007-72
Изменения и переиздания
Список изменений:
№1 от (рег. ) «Срок действия продлен» №2 от (рег. ) «Срок действия продлен»
Описание стандарта
ГОСТ 10007-80 Фторопласт-4. Технические условия
Страницы стандарта















