ГОСТ 16336-77 Композиции полиэтилена для кабельной промышленности. Технические условия
ГОСТ
Скачать ГОСТ в PDF или DOC бесплатно
Основная информация
Обозначение:
ГОСТ 16336-77
Статус:
Действует
Тип:
ГОСТ
Название русское:
Композиции полиэтилена для кабельной промышленности. Технические условия
Название английское:
Polyethylene compositions for cable industry. Specifications
Даты и сроки
Дата издания:
06-01-99
Дата введения в действие:
01-01-79
Дата завершения срока действия:
-
Применение и описание
Область и условия применения:
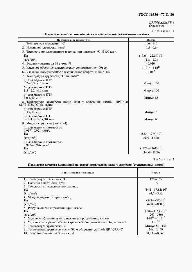
Настоящий стандарт распространяется на композиции на основе полиэтилена высокого давления (низкой плотности) и низкого давления (высокой плотности) со стабилизаторами и другими добавками. Композиции полиэтилена предназначаются для наложения изоляции, оболочек и защитных покровов проводов и кабелей методом экструзии
Связи и замены
Заменяющий:
ГОСТ 16336-2013
Взамен:
ГОСТ 16336-70
Изменения и переиздания
Список изменений:
№0 от (рег. ) «Восстановлен на территории РФ» №1 от (рег. ) «Срок действия продлен» №2 от (рег. ) «Срок действия продлен»
Описание стандарта
ГОСТ 16336-77 Композиции полиэтилена для кабельной промышленности. Технические условия
Страницы стандарта























