ГОСТ Р ИСО 306-2012 Пластмассы. Термопластичные материалы. Определение температуры размягчения по методу Вика
ГОСТ Р ИСО
Скачать ГОСТ в PDF или DOC бесплатно
Основная информация
Обозначение:
ГОСТ Р ИСО 306-2012
Статус:
Действует
Тип:
ГОСТ Р ИСО
Название русское:
Пластмассы. Термопластичные материалы. Определение температуры размягчения по методу Вика
Название английское:
Plastics. Thermoplastic materials. Determination of Vicat softening temperature
Даты и сроки
Дата издания:
08-01-14
Дата введения в действие:
07-01-14
Дата завершения срока действия:
-
Применение и описание
Область и условия применения:
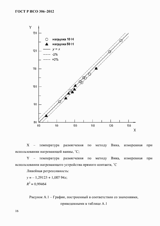
Настоящий стандарт устанавливает методы определения температуры размягчения термопластических материалов по методу Вика. Данные методы применяют только для тех тнрмопластических материалов, для которых приведены значения температур, при которых они начинают быстро размягчаться
Связи и замены
Заменяющий:
-
Описание стандарта
ГОСТ Р ИСО 306-2012 Пластмассы. Термопластичные материалы. Определение температуры размягчения по методу Вика
Страницы стандарта

























