ГОСТ Р 57400-2017 Клеи и герметики силиконовые. Классификация
ГОСТ Р
Скачать ГОСТ в PDF или DOC бесплатно
Основная информация
Обозначение:
ГОСТ Р 57400-2017
Статус:
Действует
Тип:
ГОСТ Р
Название русское:
Клеи и герметики силиконовые. Классификация
Название английское:
Silicone adhesives and sealants. Classification
Даты и сроки
Дата издания:
03-03-17
Дата введения в действие:
01-01-18
Дата завершения срока действия:
-
Применение и описание
Область и условия применения:
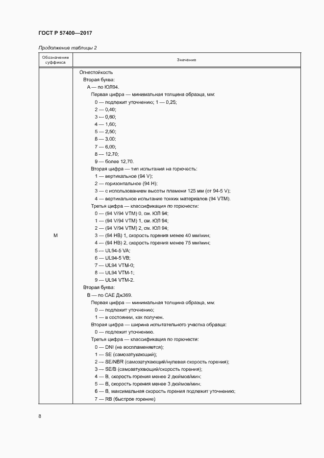
Настоящий стандарт устанавливает классификацию силиконовых клеев и герметиков, в том числе предназначенных для герметизации и скрепления металлических и неметаллических сборочных узлов, используемых в транспортных средствах. Материалы вулканизуются до эластомерного состояния с использованием соответствующей вулканизующей системы и механизма вулканизации
Связи и замены
Заменяющий:
-
Описание стандарта
ГОСТ Р 57400-2017 Клеи и герметики силиконовые. Классификация
Страницы стандарта

















