ГОСТ 16783-2017 Пластмассы. Метод определения температуры хрупкости при сдавливании образца, сложенного петлей
ГОСТ
Скачать ГОСТ в PDF или DOC бесплатно
Основная информация
Обозначение:
ГОСТ 16783-2017
Статус:
Действует
Тип:
ГОСТ
Название русское:
Пластмассы. Метод определения температуры хрупкости при сдавливании образца, сложенного петлей
Название английское:
Plastics. Method of determining the brittleness temperature at squeezing the specimen folded up as a loop
Даты и сроки
Дата регистрации:
06-01-17
Дата издания:
08-17-17
Дата введения в действие:
07-01-18
Дата завершения срока действия:
-
Применение и описание
Область и условия применения:
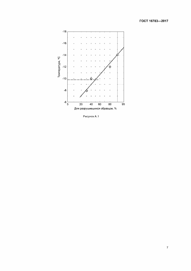
Настоящий стандарт распространяется на пластмассы с температурой хрупкости ниже стандартной температуры по ГОСТ 12423 и устанавливает метод определения температуры хрупкости при сдавливании сложенного петлей образца толщиной не более 0,5 мм. Температура хрупкости служит для сравнительной характеристики пластмасс при заданных условиях испытания и не является нижним пределом рабочей температуры изделия, которая зависит от конкретных условий эксплуатации изделия
Связи и замены
Заменяющий:
-
Взамен:
ГОСТ 16783-71
Описание стандарта
ГОСТ 16783-2017 Пластмассы. Метод определения температуры хрупкости при сдавливании образца, сложенного петлей
Страницы стандарта










