ГОСТ Р 57714-2017 Композиты полимерные. Определение ползучести при растяжении, ползучести при сжатии и разрушения при ползучести
ГОСТ Р
Скачать ГОСТ в PDF или DOC бесплатно
Основная информация
Обозначение:
ГОСТ Р 57714-2017
Статус:
Действует
Тип:
ГОСТ Р
Название русское:
Композиты полимерные. Определение ползучести при растяжении, ползучести при сжатии и разрушения при ползучести
Название английское:
Polymer composites. Determination of tensile creep, compressive creep and creep-rapture
Даты и сроки
Дата издания:
10-20-17
Дата введения в действие:
02-01-18
Дата завершения срока действия:
-
Применение и описание
Область и условия применения:
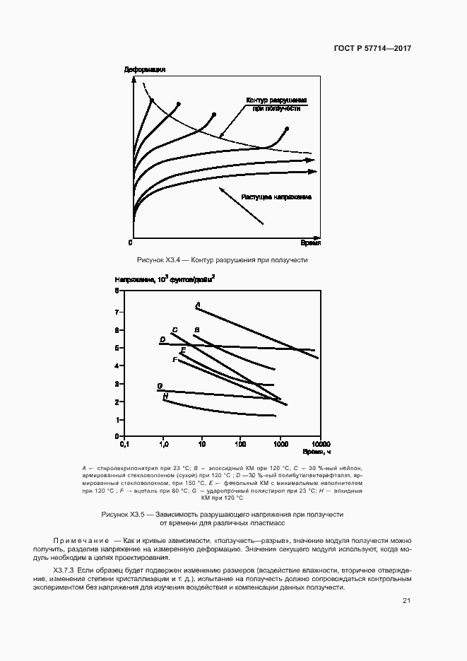
Настоящий стандарт распространяется на полимерные композиты, а также пластмассы и устанавливает методы определения ползучести при растяжении, сжатии, изгибе и длительную прочность при ползучести
Связи и замены
Заменяющий:
-
Описание стандарта
ГОСТ Р 57714-2017 Композиты полимерные. Определение ползучести при растяжении, ползучести при сжатии и разрушения при ползучести
Страницы стандарта






































