ГОСТ 11645-2021 Пластмассы. Методы определения показателя текучести расплава термопластов
ГОСТ
Скачать ГОСТ в PDF или DOC бесплатно
Основная информация
Обозначение:
ГОСТ 11645-2021
Статус:
Действует
Тип:
ГОСТ
Название русское:
Пластмассы. Методы определения показателя текучести расплава термопластов
Название английское:
Plastics. Methods for determination of flow index of thermoplastics melt
Даты и сроки
Дата регистрации:
06-30-21
Дата издания:
11-30-21
Дата введения в действие:
09-01-22
Дата завершения срока действия:
-
Применение и описание
Область и условия применения:
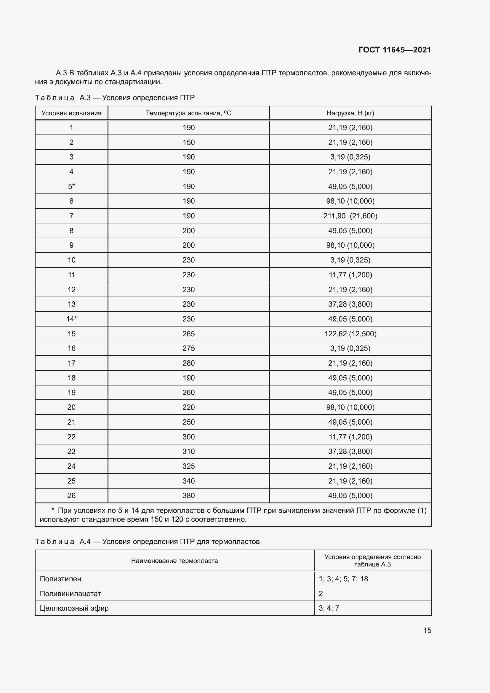
Настоящий стандарт устанавливает два метода определения показателя текучести расплава термопластичных пластмасс (термопластов): метод А – по массе ПТР (MFR) и метод Б – по объему ПТРV (MVR) при заданных значениях температуры и нагрузки. Если такие указания отсутствуют, рекомендуется применять условия, приведен-ные в приложении А. В приложении Б приведены условия определения показателей текучести расплава термопластов, используемые в международных стандартах. Показатель текучести расплава по объему ПТРV рекомендуется применять при сравнении термопластов с разным содержанием наполнителей и сравнении термопластов с наполнителями и без
Связи и замены
Заменяющий:
-
Взамен:
ГОСТ 11645-73
Описание стандарта
ГОСТ 11645-2021 Пластмассы. Методы определения показателя текучести расплава термопластов
Страницы стандарта





























Приложение №1: Поправка к ГОСТ 11645-2021 Обозначение: Поправка к ГОСТ 11645-2021 Дата введения в действие: 24.11.2022
