ГОСТ 14896-84 Манжеты уплотнительные резиновые для гидравлических устройств. Технические условия
ГОСТ
Скачать ГОСТ в PDF или DOC бесплатно
Основная информация
Обозначение:
ГОСТ 14896-84
Статус:
Действует
Тип:
ГОСТ
Название русское:
Манжеты уплотнительные резиновые для гидравлических устройств. Технические условия
Название английское:
Rubber U-packing seals for hydraulic devices. Specifications
Даты и сроки
Дата издания:
09-01-03
Дата введения в действие:
01-01-85
Применение и описание
Область и условия применения:
Настоящий стандарт распространяется на резиновые манжеты, предназначенные для уплотнения зазора между цилиндром и поршнем (плунжером, штоком) в гидравлических устройствах, работающих в условиях возвратно-поступательного движения со скоростью относительного перемещения не более 0,5 м/с, при давлении от 0,1 до 50 МПа, температуре от минус 60 до плюс 200 град. С, ходе до 10 м и частоте срабатывания до 0,5 Гц
Связи и замены
Взамен:
ГОСТ 14896-74;ГОСТ 6969-54
Изменения и переиздания
Список изменений:
№0 от (рег. ) «Дата введения перенесена» №1 от (рег. ) «Срок действия продлен» №2 от (рег. ) «Срок действия продлен» №3 от (рег. ) «Срок действия продлен»
Описание стандарта
ГОСТ 14896-84 Манжеты уплотнительные резиновые для гидравлических устройств. Технические условия
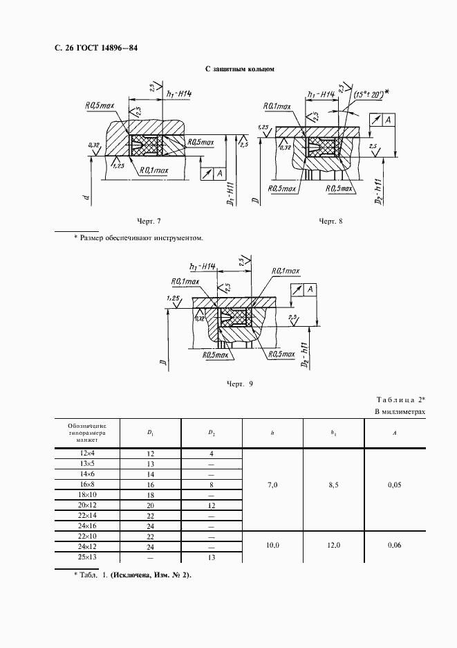
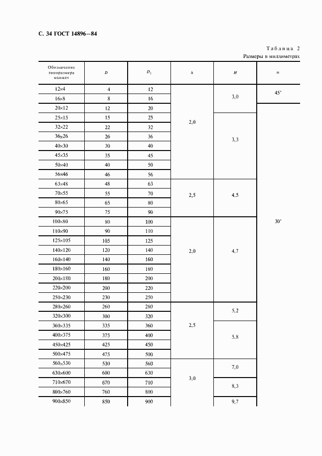
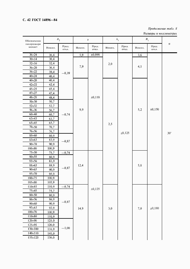
Страницы стандарта























































Приложение №4: Поправка к ГОСТ 14896-84 Обозначение: Поправка к ГОСТ 14896-84 Дата введения в действие: 01.12.2014
