ГОСТ 9998-86 Пленки поливинилхлоридные пластифицированные бытового назначения. Общие технические условия
ГОСТ
Скачать ГОСТ в PDF или DOC бесплатно
Основная информация
Обозначение:
ГОСТ 9998-86
Статус:
Действует
Тип:
ГОСТ
Название русское:
Пленки поливинилхлоридные пластифицированные бытового назначения. Общие технические условия
Название английское:
Polyvinylchloride films for household use. General specifications
Даты и сроки
Дата издания:
03-01-02
Дата введения в действие:
01-01-88
Дата завершения срока действия:
-
Применение и описание
Область и условия применения:
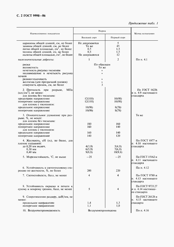
Настоящий стандарт распространяется на поливинилхлоридные пластифицированные пленки бытового назначения на основе поливинилхлорида, изготовленные каландровым методом
Связи и замены
Заменяющий:
-
Взамен:
ГОСТ 9998-74
Изменения и переиздания
Список изменений:
№1 от (рег. ) «Срок действия продлен»
Описание стандарта
ГОСТ 9998-86 Пленки поливинилхлоридные пластифицированные бытового назначения. Общие технические условия
Страницы стандарта










