ГОСТ 6286-2017 Рукава резиновые высокого давления с металлическими оплетками без концевой арматуры. Технические условия
ГОСТ
Скачать ГОСТ в PDF или DOC бесплатно
Основная информация
Обозначение:
ГОСТ 6286-2017
Статус:
Действует
Тип:
ГОСТ
Название русское:
Рукава резиновые высокого давления с металлическими оплетками без концевой арматуры. Технические условия
Название английское:
High-pressure rubber hoses with metal braids without end fittings. Specifications
Даты и сроки
Дата регистрации:
01-30-17
Дата издания:
06-28-17
Дата введения в действие:
07-01-18
Дата завершения срока действия:
-
Применение и описание
Область и условия применения:
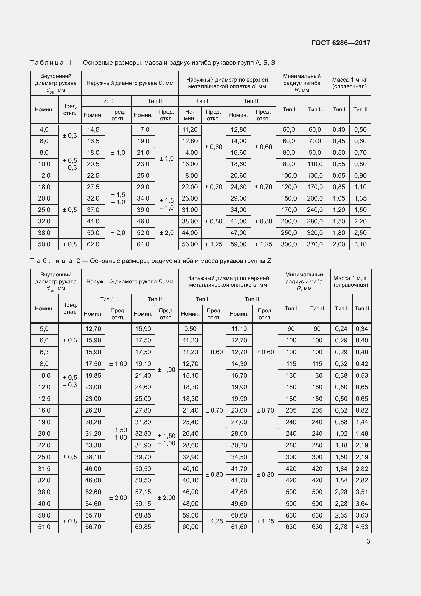
Настоящий стандарт распространяется на резиновые рукава высокого давления оплеточной конструкции с металлическими оплетками без концевой арматуры (далее – рукава), применяемые в качестве гибких трубопроводов для подачи под высоким давлением жидкостей и работоспособные в районах с умеренным и тропическим климатом при температуре окружающего воздуха от минус 50 °С до плюс 70 °С, а также в районах с холодным климатом при температуре от минус 60 °С до плюс 70 °С
Связи и замены
Заменяющий:
-
Взамен:
ГОСТ 6286-73
Описание стандарта
ГОСТ 6286-2017 Рукава резиновые высокого давления с металлическими оплетками без концевой арматуры. Технические условия
Страницы стандарта






















Приложение №1: Поправка к ГОСТ 6286-2017 Обозначение: Поправка к ГОСТ 6286-2017 Дата введения в действие: 30.12.2021

Приложение №2: Поправка к ГОСТ 6286-2017 Обозначение: Поправка к ГОСТ 6286-2017 Дата введения в действие: 09.11.2022
