ГОСТ 17394-79 Шины широкопрофильные с регулируемым давлением. Основные параметры и размеры
ГОСТ
Скачать ГОСТ в PDF или DOC бесплатно
Основная информация
Обозначение:
ГОСТ 17394-79
Статус:
Действует
Тип:
ГОСТ
Название русское:
Шины широкопрофильные с регулируемым давлением. Основные параметры и размеры
Название английское:
Wide profile tyres with adjusted pressure. Main parameters and dimensions
Даты и сроки
Дата издания:
05-01-97
Дата введения в действие:
06-30-80
Дата завершения срока действия:
-
Применение и описание
Область и условия применения:
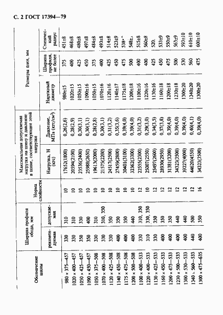
Настоящий стандарт распространяется на широкопрофильные шины с регулируемым давлением диагональные (камерные и бескамерные) для новых автомобилей повышенной проходимости и других машин, эксплуатируемых преимущественно в условиях бездорожья и на мягких грунтах, и устанавливает основные параметры, размеры и эксплуатационные характеристики шин. Стандарт не распространяется на шины, специально предназначенные для работы в шахтах, рудниках, карьерах, на лесоразработках, и шины, разработанные и находящиеся в производстве до 01.07.80г
Связи и замены
Заменяющий:
-
Взамен:
ГОСТ 17394-72
Изменения и переиздания
Список изменений:
№1 от (рег. ) «Срок действия продлен»
Описание стандарта
ГОСТ 17394-79 Шины широкопрофильные с регулируемым давлением. Основные параметры и размеры
Страницы стандарта






