ГОСТ ISO 4000-1-2013 Шины и ободья для легковых автомобилей. Часть 1. Шины (метрические серии)
ГОСТ ИСО
Скачать ГОСТ в PDF или DOC бесплатно
Основная информация
Обозначение:
ГОСТ ISO 4000-1-2013
Статус:
Действует
Тип:
ГОСТ ИСО
Название русское:
Шины и ободья для легковых автомобилей. Часть 1. Шины (метрические серии)
Название английское:
Passenger car tyres and rims. Part 1. Tyres (metric series)
Даты и сроки
Дата регистрации:
11-14-13
Дата издания:
04-01-14
Дата введения в действие:
01-01-15
Дата завершения срока действия:
-
Применение и описание
Область и условия применения:
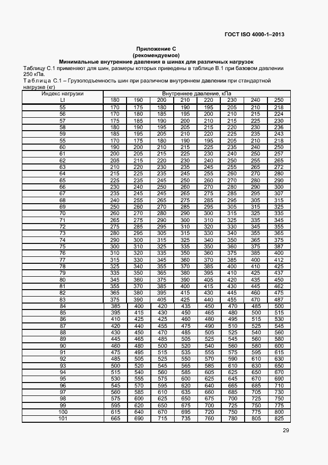
Настоящий стандарт распространяется на шины для легковых автомобилей (метрические серии) и устанавливает их обозначения, размеры, номинальные нагрузки и маркировку.
Связи и замены
Заменяющий:
-
Изменения и переиздания
Список изменений:
№0 от (рег. ) «Дата введения перенесена»
Описание стандарта
ГОСТ ISO 4000-1-2013 Шины и ободья для легковых автомобилей. Часть 1. Шины (метрические серии)
Страницы стандарта












































Приложение №1: Поправка к ГОСТ ISO 4000-1-2013 Обозначение: Поправка к ГОСТ ISO 4000-1-2013 Дата введения в действие: 30.10.2014
