ГОСТ ИСО 4209-1-2006 Шины и ободья для грузовых автомобилей и автобусов (метрические серии). Часть 1. Шины
ГОСТ ИСО
Скачать ГОСТ в PDF или DOC бесплатно
Основная информация
Обозначение:
ГОСТ ИСО 4209-1-2006
Статус:
Действует
Тип:
ГОСТ ИСО
Название русское:
Шины и ободья для грузовых автомобилей и автобусов (метрические серии). Часть 1. Шины
Название английское:
Truck and bus tyres and rims (metric series). Part 1. Tyres
Даты и сроки
Дата регистрации:
12-07-06
Дата издания:
07-23-07
Дата введения в действие:
01-01-09
Дата завершения срока действия:
-
Применение и описание
Область и условия применения:
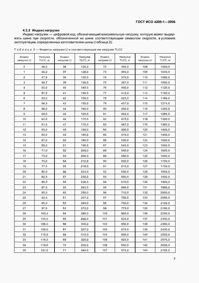
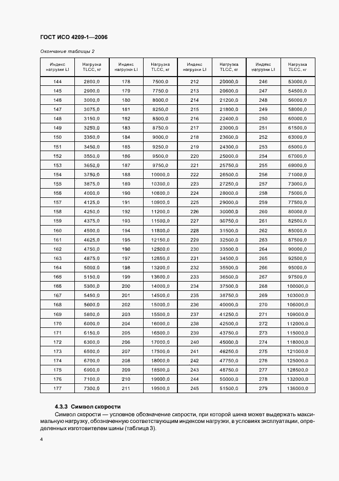
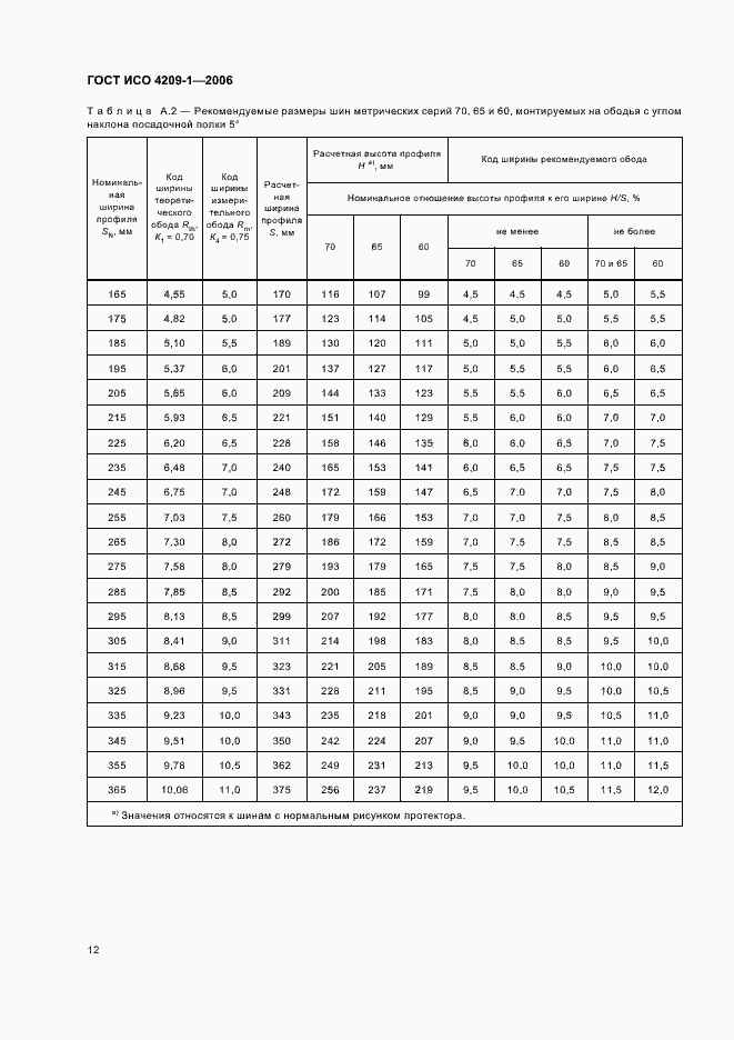
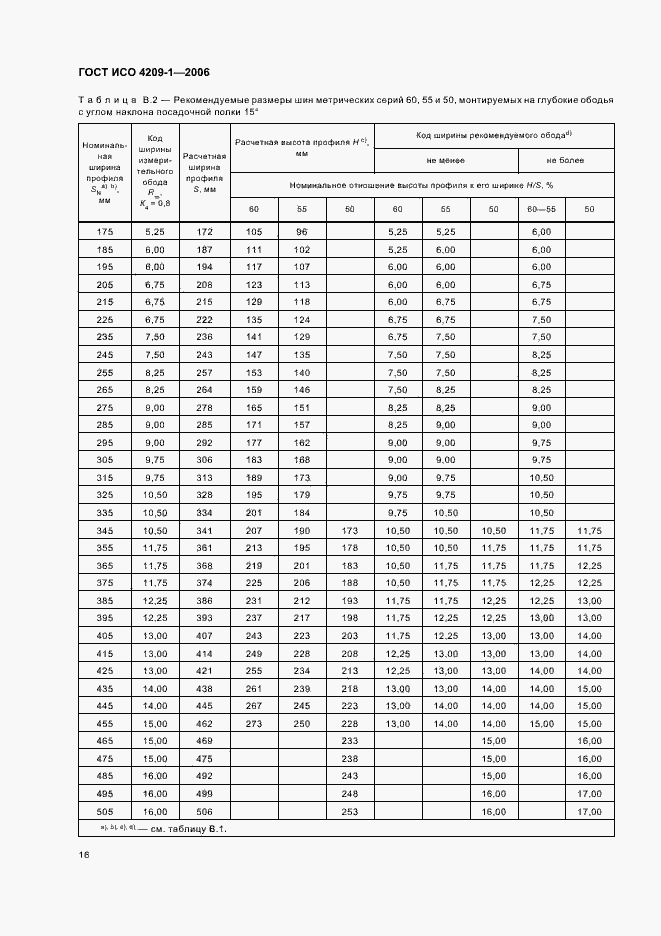
Настоящий стандарт устанавливает обозначения, размеры и номинальные нагрузки шин метрических серий, предназначенных преимущественно для грузовых автомобилей и автобусов. Стандарт распространяется на диагонально-опоясанные, диагональные и радиальные шины для грузовых автомобилей и автобусов, монтируемые на ободья с углом наклона посадочных полок 5 град. и 15 град. (глубокие ободья)
Связи и замены
Заменяющий:
-
Взамен:
ГОСТ 28837-90
Описание стандарта
ГОСТ ИСО 4209-1-2006 Шины и ободья для грузовых автомобилей и автобусов (метрические серии). Часть 1. Шины
Страницы стандарта






















