ГОСТ Р ИСО 13442-2017 Шины и ободья для строительных машин. Технические требования
ГОСТ Р ИСО
Скачать ГОСТ в PDF или DOC бесплатно
Основная информация
Обозначение:
ГОСТ Р ИСО 13442-2017
Статус:
Действует
Тип:
ГОСТ Р ИСО
Название русское:
Шины и ободья для строительных машин. Технические требования
Название английское:
Tyres and rims for construction machines. Technical requirements
Даты и сроки
Дата издания:
08-03-17
Дата введения в действие:
01-01-19
Дата завершения срока действия:
-
Применение и описание
Область и условия применения:
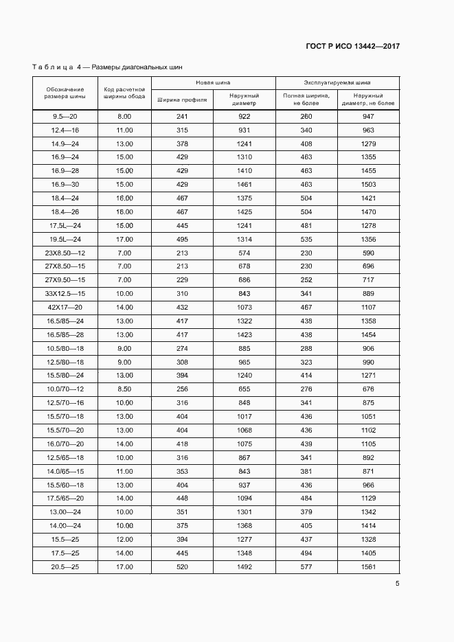
Настоящий стандарт устанавливает обозначение, размеры, индексы нагрузки и индексы скорости шин и ободьев для строительных машин (экскаваторов-погрузчиков, малых самосвалов, погрузчиков, экскаваторов и т. д.), работающих на строительных площадках при выполнении погрузочных и транспортных операций
Связи и замены
Заменяющий:
-
Описание стандарта
ГОСТ Р ИСО 13442-2017 Шины и ободья для строительных машин. Технические требования
Страницы стандарта














