ГОСТ Р 41.106-99 Единообразные предписания, касающиеся официального утверждения пневматических шин для сельскохозяйственных транспортных средств и их прицепов
ГОСТ Р
Скачать ГОСТ в PDF или DOC бесплатно
Основная информация
Обозначение:
ГОСТ Р 41.106-99
Статус:
Отменен
Тип:
ГОСТ Р
Название русское:
Единообразные предписания, касающиеся официального утверждения пневматических шин для сельскохозяйственных транспортных средств и их прицепов
Название английское:
Uniform provisions concerning the approval of pneumatic tyres for agricultural vehicles and their trailers
Даты и сроки
Дата издания:
12-09-00
Дата введения в действие:
07-01-00
Дата завершения срока действия:
09-01-18
Применение и описание
Область и условия применения:
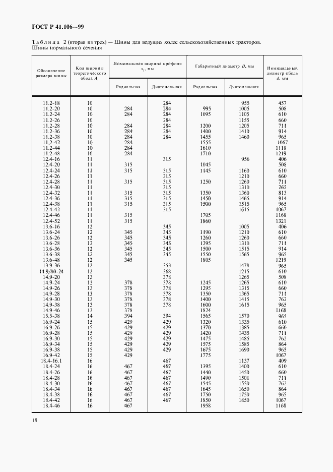
Настоящий стандарт устанавливает единообразные предписания, касающиеся официального утверждения пневматических шин для сельскохозяйственных транспортных средств и их прицепов
Связи и замены
Заменяющий:
-
Изменения и переиздания
Список изменений:
№0 от (рег. ) «Текстовое изменение; Изменено заглавие»
Описание стандарта
ГОСТ Р 41.106-99 Единообразные предписания, касающиеся официального утверждения пневматических шин для сельскохозяйственных транспортных средств и их прицепов
Страницы стандарта


































