ГОСТ Р 54502-2011 Микробиология пищевых продуктов и кормов для животных. Руководство по оценке неопределенности измерений при количественных определениях
ГОСТ Р
Скачать ГОСТ в PDF или DOC бесплатно
Основная информация
Обозначение:
ГОСТ Р 54502-2011
Статус:
Действует
Тип:
ГОСТ Р
Название русское:
Микробиология пищевых продуктов и кормов для животных. Руководство по оценке неопределенности измерений при количественных определениях
Название английское:
Microbiology of food and animal feeding stuffs. Guidelines for the estimation of measurement uncertainty for quantitative determinations
Даты и сроки
Дата издания:
10-17-12
Дата введения в действие:
01-01-13
Дата завершения срока действия:
-
Применение и описание
Область и условия применения:
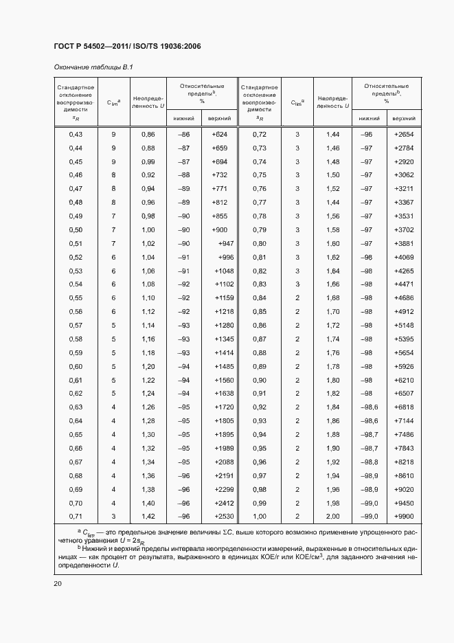
Настоящий стандарт представляет собой руководство по оценке и выражению неопределенности, связанной с количественными определениями, осуществляемыми в пищевой микробиологии. Стандарт применим при количественных анализах: - продуктов, предназначенных для потребления человеком, и кормов для животных и - проб, взятых с целью контроля состояния окружающей среды при производстве продуктов, которые обычно проводятся путем определения количества микроорганизмов с использованием техники подсчета числа культивированных колоний, однако он пригоден также и при количественных анализах, осуществляемых альтернативными инструментальными методами. Стандарт не применим в случае использования так называемой "техники определения наиболее вероятного числа". В настоящем стандарте неопределенность измерений оценивается с использованием упрощенного подхода, в котором принимается в учет Пуассоновское распределение, и поэтому он применим по отношению к любому результату микробиологического анализа, включая случаи "низкого" результата подсчета числа колониеобразующих единиц и/или "низкого" числа микроорганизмов
Связи и замены
Заменяющий:
-
Описание стандарта
ГОСТ Р 54502-2011 Микробиология пищевых продуктов и кормов для животных. Руководство по оценке неопределенности измерений при количественных определениях
Страницы стандарта



























