ГОСТ 20932-75 Камеры прессования для съемных пресс-форм. Конструкция и размеры
ГОСТ
Скачать ГОСТ в PDF или DOC бесплатно
Основная информация
Обозначение:
ГОСТ 20932-75
Статус:
Действует
Тип:
ГОСТ
Название русское:
Камеры прессования для съемных пресс-форм. Конструкция и размеры
Название английское:
Loading moulding for loose press-moulds. Construction and dimensions
Даты и сроки
Дата издания:
10-24-75
Дата введения в действие:
06-30-76
Дата завершения срока действия:
-
Применение и описание
Область и условия применения:
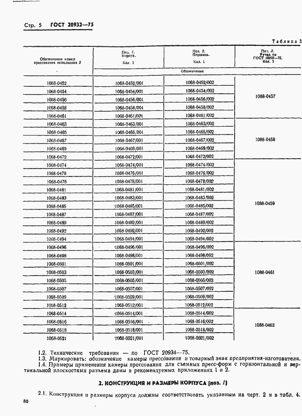
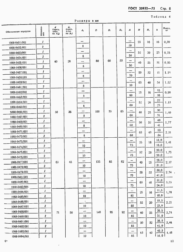
Настоящий стандарт распространяется на камеры прессования для съемных пресс-форм с горизонтальной и вертикальной плоскостями разъема, предназначенных для изготовления изделий из реактопластов
Связи и замены
Заменяющий:
-
Взамен:
МН 1490-61;МН 1491-61
Изменения и переиздания
Список изменений:
№1 от (рег. ) «Срок действия продлен» №2 от (рег. ) «Срок действия продлен»
Описание стандарта
ГОСТ 20932-75 Камеры прессования для съемных пресс-форм. Конструкция и размеры
Страницы стандарта















