ГОСТ 22063-76 Пресс-формы-заготовки с плитой съема для литья термопластов под давлением. Конструкция и размеры
ГОСТ
Скачать ГОСТ в PDF или DOC бесплатно
Основная информация
Обозначение:
ГОСТ 22063-76
Статус:
Действует
Тип:
ГОСТ
Название русское:
Пресс-формы-заготовки с плитой съема для литья термопластов под давлением. Конструкция и размеры
Название английское:
Injection mould bases with take-off plate. Desing and dimensions
Даты и сроки
Дата издания:
10-01-86
Дата введения в действие:
06-30-77
Дата завершения срока действия:
-
Применение и описание
Область и условия применения:
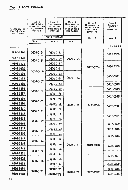
Настоящий стандарт устанавливает конструкцию и размеры пресс-форм-заготовок с плитой съема
Связи и замены
Заменяющий:
-
Изменения и переиздания
Список изменений:
№1 от (рег. ) «Срок действия продлен» №2 от (рег. ) «Срок действия продлен»
Описание стандарта
ГОСТ 22063-76 Пресс-формы-заготовки с плитой съема для литья термопластов под давлением. Конструкция и размеры
Страницы стандарта



















