ГОСТ 22075-76 Втулки центрирующие пресс-форм для литья термопластов под давлением. Конструкция и размеры
ГОСТ
Скачать ГОСТ в PDF или DOC бесплатно
Основная информация
Обозначение:
ГОСТ 22075-76
Статус:
Действует
Тип:
ГОСТ
Название русское:
Втулки центрирующие пресс-форм для литья термопластов под давлением. Конструкция и размеры
Название английское:
Locating bushings of injection moulds. Design and dimensions
Даты и сроки
Дата издания:
10-01-86
Дата введения в действие:
06-30-77
Дата завершения срока действия:
-
Применение и описание
Область и условия применения:
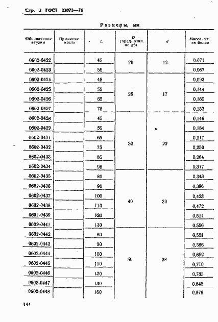
Настоящий стандарт устанавливает конструкцию и размеры центрирующих втулок
Связи и замены
Заменяющий:
-
Изменения и переиздания
Список изменений:
№1 от (рег. ) «Срок действия продлен»
Описание стандарта
ГОСТ 22075-76 Втулки центрирующие пресс-форм для литья термопластов под давлением. Конструкция и размеры
Страницы стандарта


