ГОСТ 22078-76 Втулки центральные пресс-форм для литья термопластов под давлением. Конструкция и размеры
ГОСТ
Скачать ГОСТ в PDF или DOC бесплатно
Основная информация
Обозначение:
ГОСТ 22078-76
Статус:
Действует
Тип:
ГОСТ
Название русское:
Втулки центральные пресс-форм для литья термопластов под давлением. Конструкция и размеры
Название английское:
Central bushings of injection moulds. Design and dimensions
Даты и сроки
Дата издания:
10-01-86
Дата введения в действие:
06-30-77
Дата завершения срока действия:
-
Применение и описание
Область и условия применения:
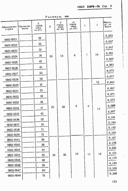
Настоящий стандарт устанавливает конструкцию и размеры центральных втулок
Связи и замены
Заменяющий:
-
Взамен:
МН 5166-63
Изменения и переиздания
Список изменений:
№1 от (рег. ) «Срок действия продлен» №2 от (рег. ) «Срок действия продлен»
Описание стандарта
ГОСТ 22078-76 Втулки центральные пресс-форм для литья термопластов под давлением. Конструкция и размеры
Страницы стандарта


