ГОСТ 24342-80 Блоки съемных многоместных пресс-форм для изготовления шевронных резинотканевых уплотнений. Конструкция и размеры
ГОСТ
Скачать ГОСТ в PDF или DOC бесплатно
Основная информация
Обозначение:
ГОСТ 24342-80
Статус:
Действует
Тип:
ГОСТ
Название русское:
Блоки съемных многоместных пресс-форм для изготовления шевронных резинотканевых уплотнений. Конструкция и размеры
Название английское:
Units of portable multi-impressions press moulds for manufacturing rubber-fabric chevron seals. Design and dimensions
Даты и сроки
Дата издания:
10-01-03
Дата введения в действие:
01-01-82
Дата завершения срока действия:
-
Применение и описание
Область и условия применения:
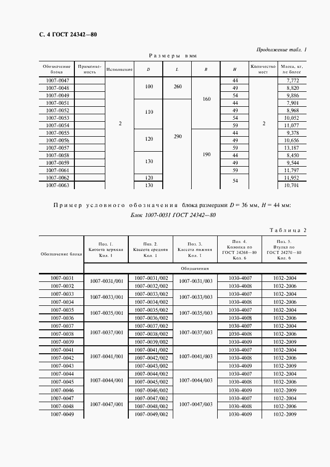
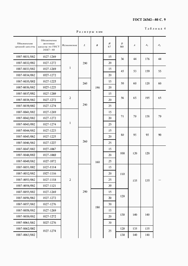
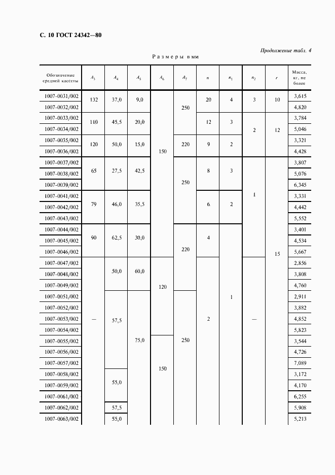
Настоящий стандарт устанавливает конструкцию и размеры блоков
Связи и замены
Заменяющий:
-
Изменения и переиздания
Список изменений:
№1 от (рег. ) «Срок действия продлен»
Описание стандарта
ГОСТ 24342-80 Блоки съемных многоместных пресс-форм для изготовления шевронных резинотканевых уплотнений. Конструкция и размеры
Страницы стандарта













