ГОСТ 24401-80 Брусья для пресс-форм. Конструкция и размеры
ГОСТ
Скачать ГОСТ в PDF или DOC бесплатно
Основная информация
Обозначение:
ГОСТ 24401-80
Статус:
Действует
Тип:
ГОСТ
Название русское:
Брусья для пресс-форм. Конструкция и размеры
Название английское:
Casting die beams. Construction and dimensions
Даты и сроки
Дата издания:
03-01-04
Дата введения в действие:
01-01-82
Дата завершения срока действия:
-
Применение и описание
Область и условия применения:
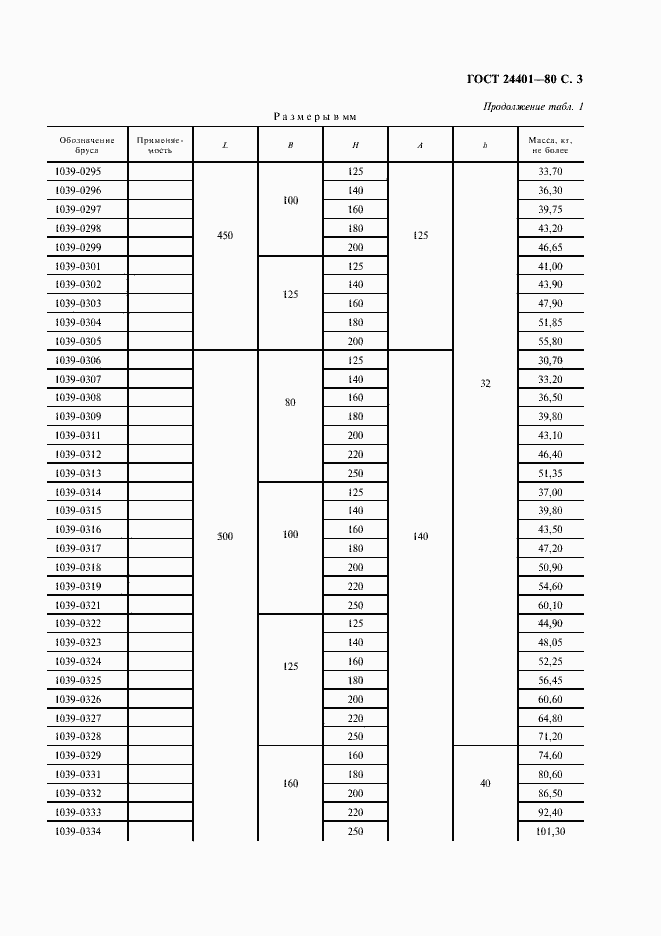
Настоящий стандарт распространяется на литые брусья и брусья из проката для прессования и литья под давлением в пресс-формах изделий из пластмасс и сплавов цветных металлов
Связи и замены
Заменяющий:
-
Изменения и переиздания
Список изменений:
№1 от (рег. ) «Срок действия продлен»
Описание стандарта
ГОСТ 24401-80 Брусья для пресс-форм. Конструкция и размеры
Страницы стандарта






















