ГОСТ 24514-80 Пакеты быстросменные с коническим разъемом пресс-форм для изготовления резиновых колец круглого сечения. Конструкция и размеры
ГОСТ
Скачать ГОСТ в PDF или DOC бесплатно
Основная информация
Обозначение:
ГОСТ 24514-80
Статус:
Действует
Тип:
ГОСТ
Название русское:
Пакеты быстросменные с коническим разъемом пресс-форм для изготовления резиновых колец круглого сечения. Конструкция и размеры
Название английское:
Packets quick-changing with conical break of press-moulds for manufacturing of rubber O-rings section. Construction and dimensions
Даты и сроки
Дата издания:
01-01-82
Дата введения в действие:
01-01-83
Дата завершения срока действия:
-
Применение и описание
Область и условия применения:
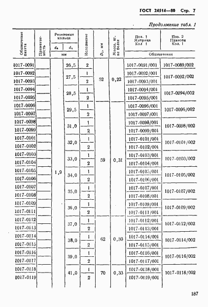
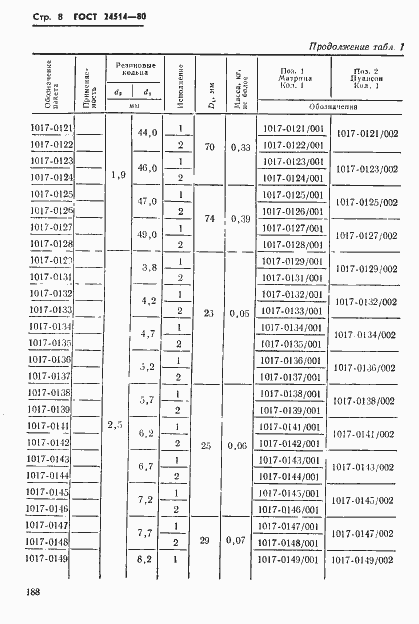
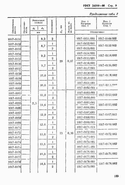
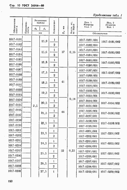
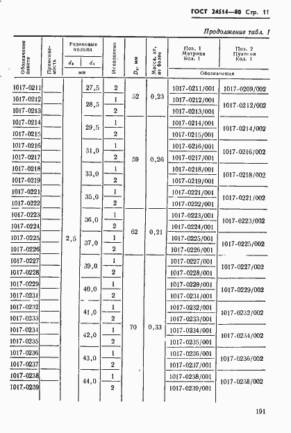
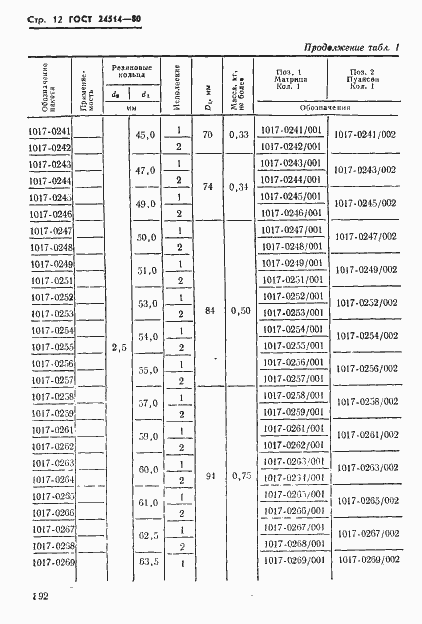
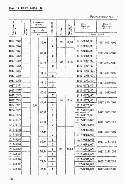
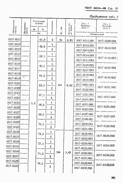
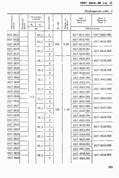
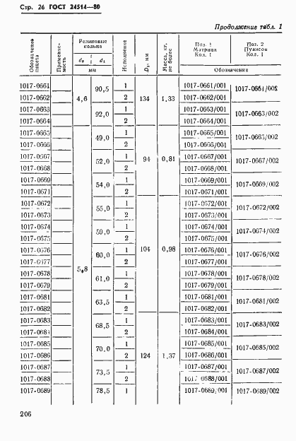
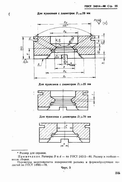
Настоящий стандарт распространяется на быстросменные пакеты с коническим разъемом (угол разъема 90 град.) компрессионных универсальных пресс-форм для изготовления из резиновых смесей с процентом усадки до 4,3 резиновых уплотнительных колец круглого сечения с внутренним диаметром сечения от 1,4 до 5,8 мм
Связи и замены
Заменяющий:
-
Изменения и переиздания
Список изменений:
№1 от (рег. ) «Срок действия продлен»
Описание стандарта
ГОСТ 24514-80 Пакеты быстросменные с коническим разъемом пресс-форм для изготовления резиновых колец круглого сечения. Конструкция и размеры
Страницы стандарта








































































