ГОСТ 24519-80 Пакеты двухкассетных пресс-форм для изготовления резиновых колец круглого сечения. Конструкция и размеры
ГОСТ
Скачать ГОСТ в PDF или DOC бесплатно
Основная информация
Обозначение:
ГОСТ 24519-80
Статус:
Действует
Тип:
ГОСТ
Название русское:
Пакеты двухкассетных пресс-форм для изготовления резиновых колец круглого сечения. Конструкция и размеры
Название английское:
Sets of two-cassette press-moulds for manufacture of rubber toroidal sealing rings. Design and dimensions
Даты и сроки
Дата издания:
04-01-91
Дата введения в действие:
01-01-81
Дата завершения срока действия:
-
Применение и описание
Область и условия применения:
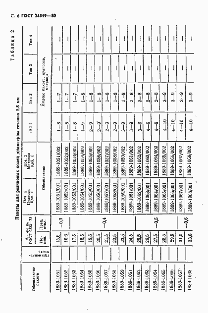
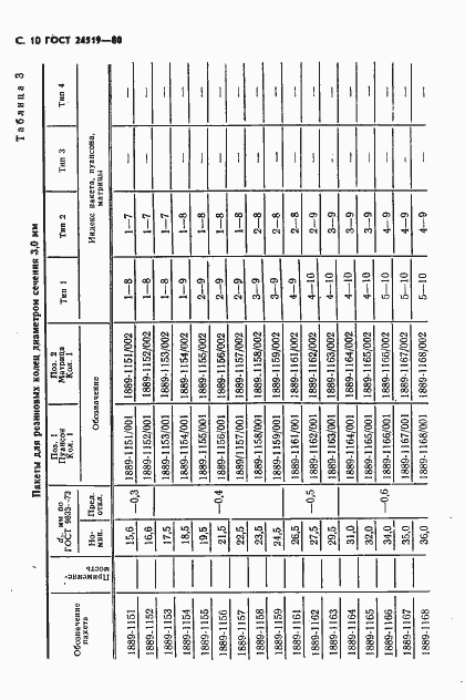
Настоящий стандарт распространяется на пакеты с коническим разъемом (угол конуса 90 град.), устанавливаемые в блоки двухкассетных пресс-форм для изготовления резиновых уплотнительных колец круглого сечения с внутренним диаметром от 15,6 до 150,0 мм, диаметром сечения от 1,9 до 8,5 мм
Связи и замены
Заменяющий:
-
Изменения и переиздания
Список изменений:
№1 от (рег. ) «Срок действия продлен»
Описание стандарта
ГОСТ 24519-80 Пакеты двухкассетных пресс-форм для изготовления резиновых колец круглого сечения. Конструкция и размеры
Страницы стандарта































































