ГОСТ 24829-81 Пакеты трехкассетных пресс-форм для изготовления резиновых уплотнительных манжет. Конструкция и размеры
ГОСТ
Скачать ГОСТ в PDF или DOC бесплатно
Основная информация
Обозначение:
ГОСТ 24829-81
Статус:
Действует
Тип:
ГОСТ
Название русское:
Пакеты трехкассетных пресс-форм для изготовления резиновых уплотнительных манжет. Конструкция и размеры
Название английское:
The sets of three casette press moulds for manufacturing of rubber sealing cups. Design and dimensions
Даты и сроки
Дата издания:
09-16-81
Дата введения в действие:
06-30-82
Дата завершения срока действия:
-
Применение и описание
Область и условия применения:
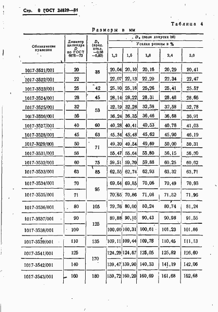
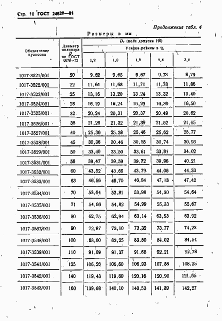
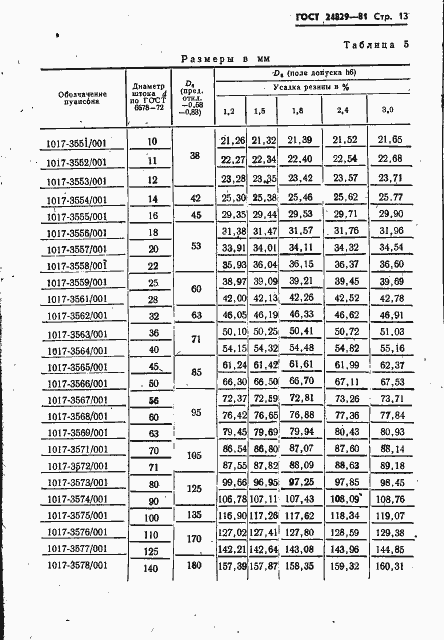
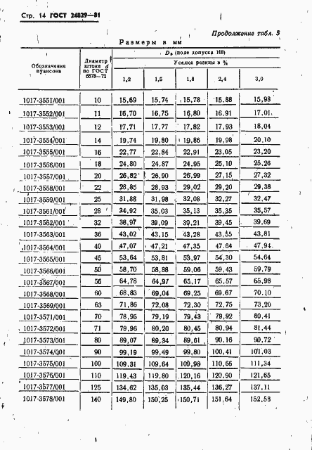
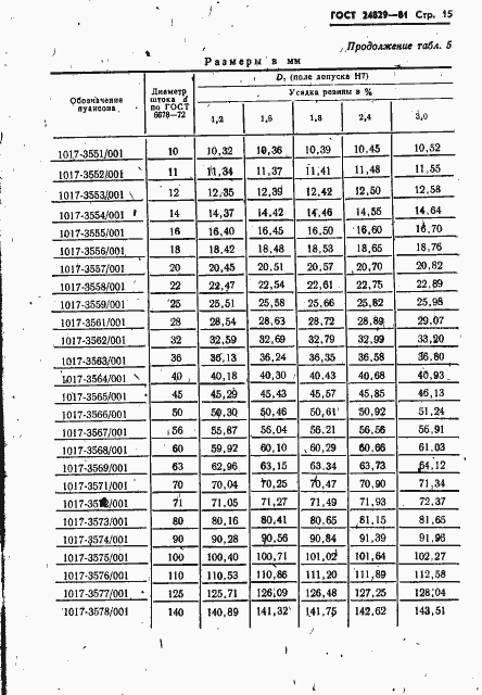
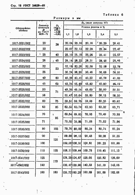
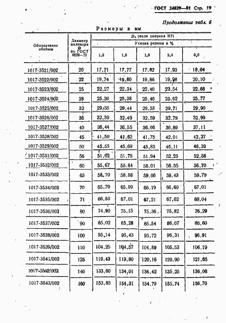
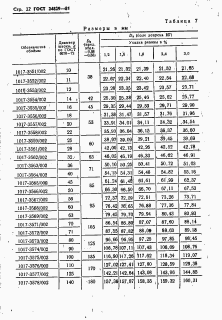
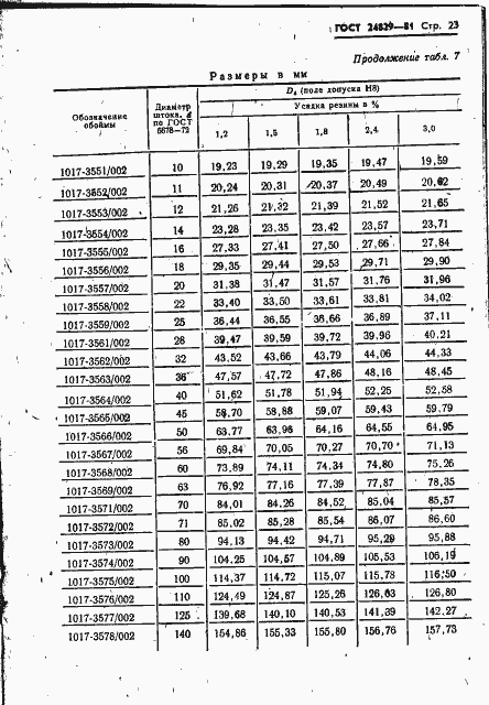
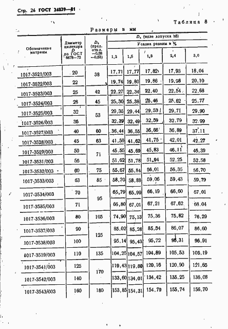
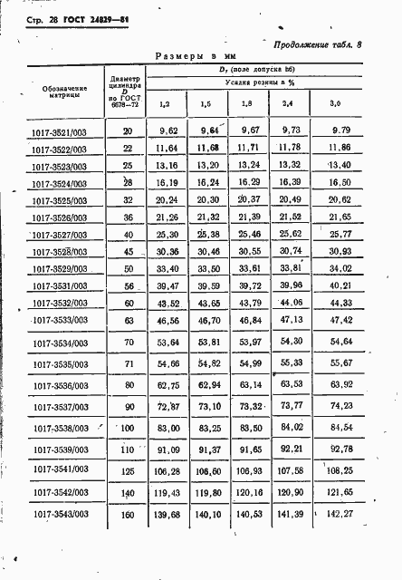
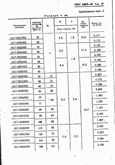
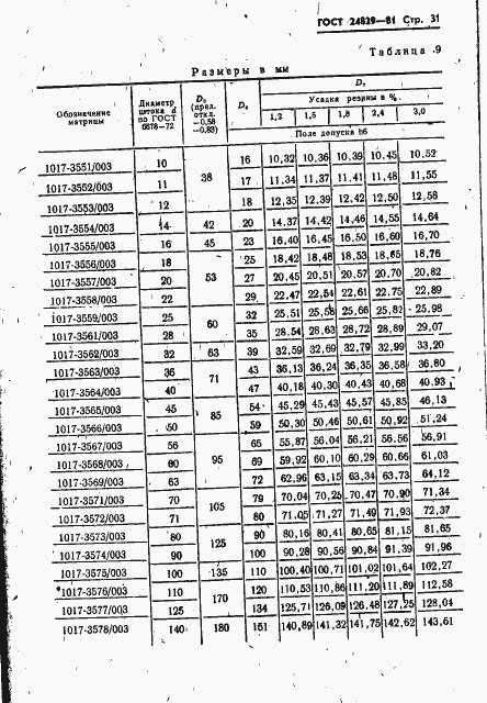
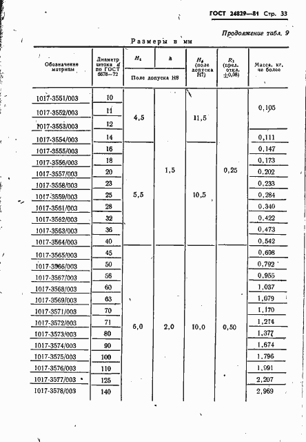
Настоящий стандарт распространяется на пакеты с исполнительными размерами формообразующих полостей, рассчитанных с учетом усадки резины 1,2, 1,5, 1,8, 2,4, 3,0 %, устанавливаемые в блоки трехкассетных пресс-форм по ГОСТ 24318-80 для изготовления резиновых манжет типов 1 и 2 по ГОСТ 6678-72 с внутренним диаметром не менее 9,5 мм и наружным диаметром не более 159 мм
Связи и замены
Заменяющий:
-
Описание стандарта
ГОСТ 24829-81 Пакеты трехкассетных пресс-форм для изготовления резиновых уплотнительных манжет. Конструкция и размеры
Страницы стандарта













































