ГОСТ 26298-84 Пресс-формы съемные этажные с коническим разъемом для изготовления резиновых колец круглого сечения. Конструкция и размеры
ГОСТ
Скачать ГОСТ в PDF или DOC бесплатно
Основная информация
Обозначение:
ГОСТ 26298-84
Статус:
Действует
Тип:
ГОСТ
Название русское:
Пресс-формы съемные этажные с коническим разъемом для изготовления резиновых колец круглого сечения. Конструкция и размеры
Название английское:
Portable ream press moulds with conical break for manufacturing of rubber O-rings section. Design and dimensions
Даты и сроки
Дата издания:
01-21-85
Дата введения в действие:
01-01-86
Дата завершения срока действия:
-
Применение и описание
Область и условия применения:
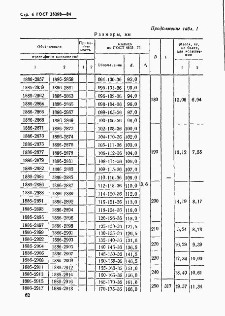
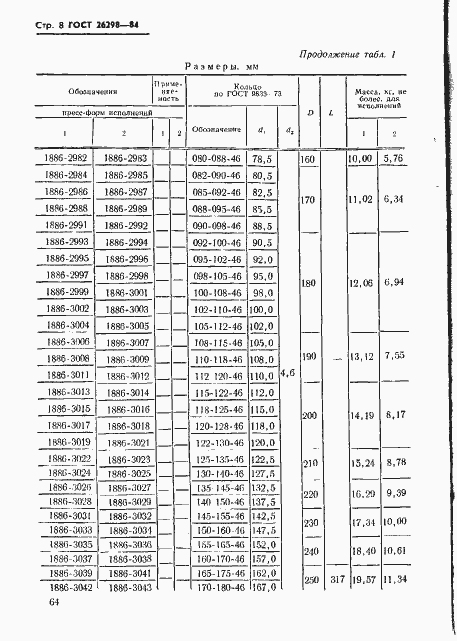
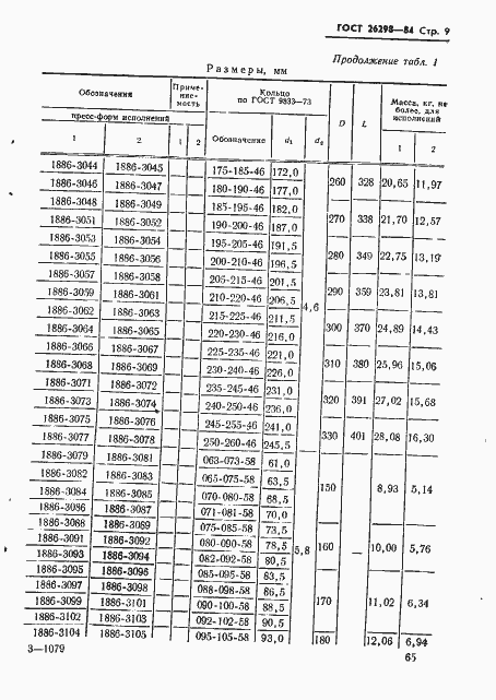
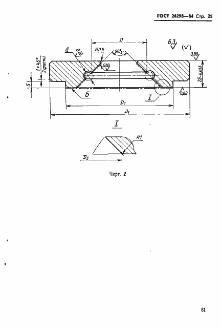
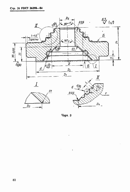
Настоящий стандарт распространяется на съемные этажные пресс-формы с коническим разъемом для изготовления резиновых колец круглого сечения внутренним диаметром от 61 до 299,5 мм из резиновых смесей с усадкой
Связи и замены
Заменяющий:
-
Описание стандарта
ГОСТ 26298-84 Пресс-формы съемные этажные с коническим разъемом для изготовления резиновых колец круглого сечения. Конструкция и размеры
Страницы стандарта













































