ГОСТ 26619-85 Пресс-формы одноместные для изготовления манжет гидравлических устройств. Конструкция и размеры
ГОСТ
Скачать ГОСТ в PDF или DOC бесплатно
Основная информация
Обозначение:
ГОСТ 26619-85
Статус:
Действует
Тип:
ГОСТ
Название русское:
Пресс-формы одноместные для изготовления манжет гидравлических устройств. Конструкция и размеры
Название английское:
Singll-impression press moulds for manufacturing of rubber u-packing seals. Design and dimensions
Даты и сроки
Дата издания:
03-07-86
Дата введения в действие:
07-06-86
Дата завершения срока действия:
-
Применение и описание
Область и условия применения:
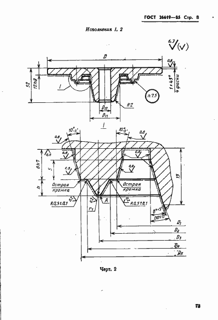
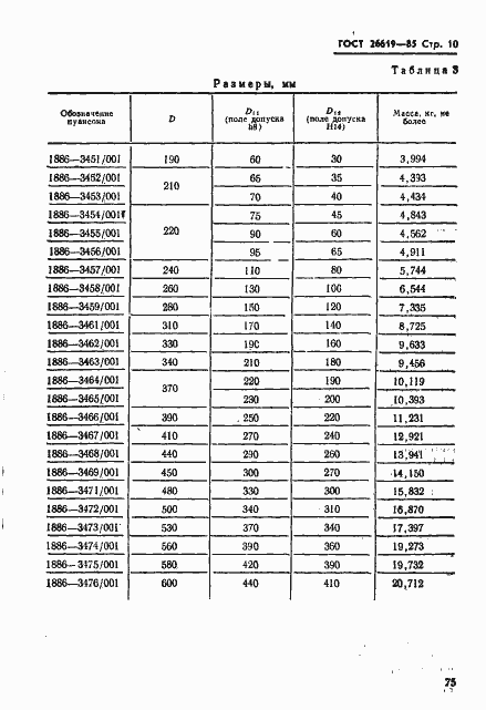
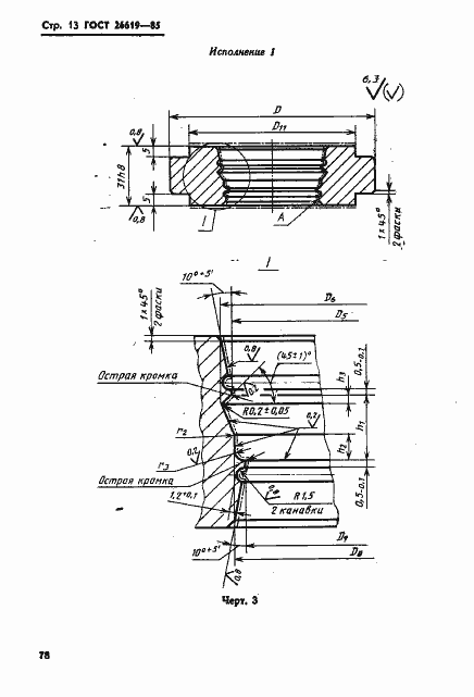
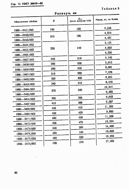
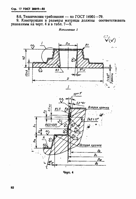
Настоящий стандарт распространяется на съемные одноместные пресс-формы для изготовления резиновых уплотнительных манжет по ГОСТ 14896-84 типов 1 и 3 размерами от 110х90 до 500х475 мм. Пресс-формы должны изготавливаться трех исполнений: 1 - для манжет размерами от 110х90 до 200х180 мм; 2 - для манжет размерами св. 200х180 до 320х300 мм; 3 - для манжет размерами св. 320х300 до 500х475 мм
Связи и замены
Заменяющий:
-
Описание стандарта
ГОСТ 26619-85 Пресс-формы одноместные для изготовления манжет гидравлических устройств. Конструкция и размеры
Страницы стандарта




















