ГОСТ 26620-85 Пакеты съемных многоместных и кассетных пресс-форм и пресс-формы одноместные для изготовления манжет гидравлических устройств. Исполнительные размеры формообразующих деталей
ГОСТ
Скачать ГОСТ в PDF или DOC бесплатно
Основная информация
Обозначение:
ГОСТ 26620-85
Статус:
Действует
Тип:
ГОСТ
Название русское:
Пакеты съемных многоместных и кассетных пресс-форм и пресс-формы одноместные для изготовления манжет гидравлических устройств. Исполнительные размеры формообразующих деталей
Название английское:
Sets of portable multi-impression and casseta press-moulds and single impression for manufacturing rubber upacking seals. Executive dimensions of formed articies
Даты и сроки
Дата издания:
03-07-86
Дата введения в действие:
06-30-87
Дата завершения срока действия:
-
Применение и описание
Область и условия применения:
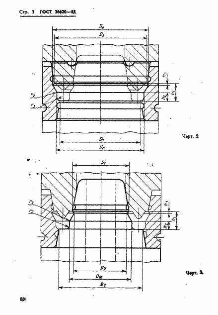
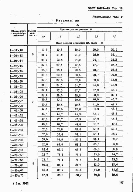
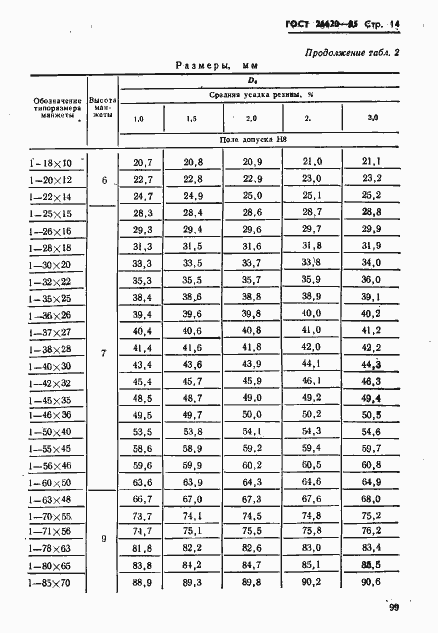
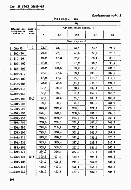
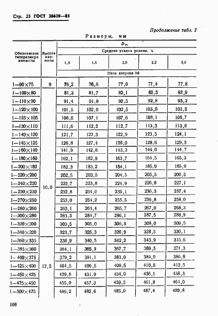
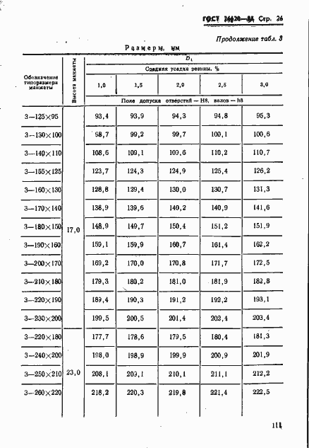
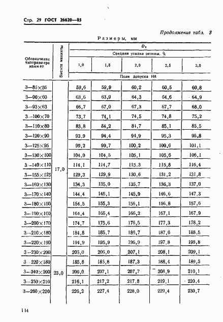
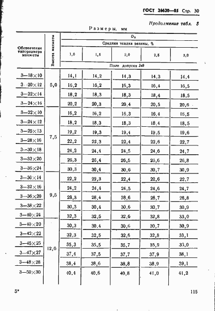
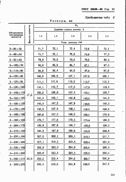
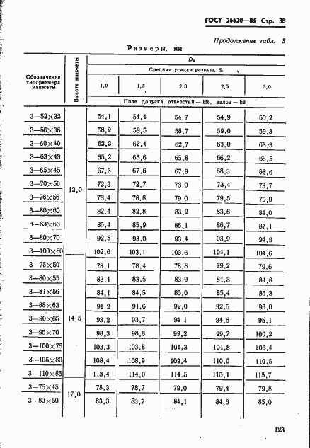
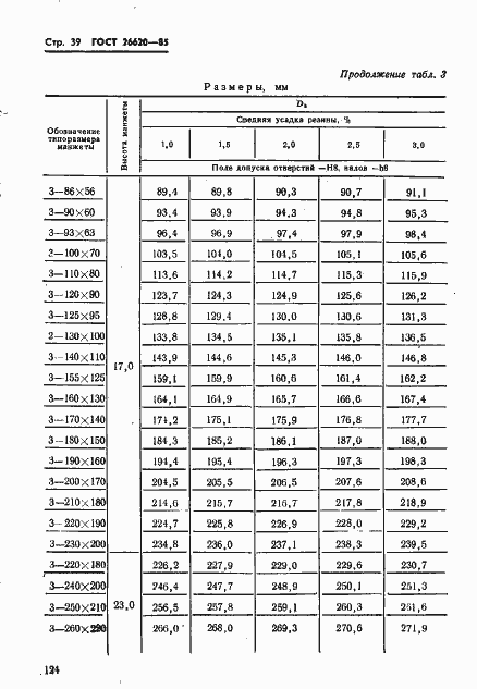
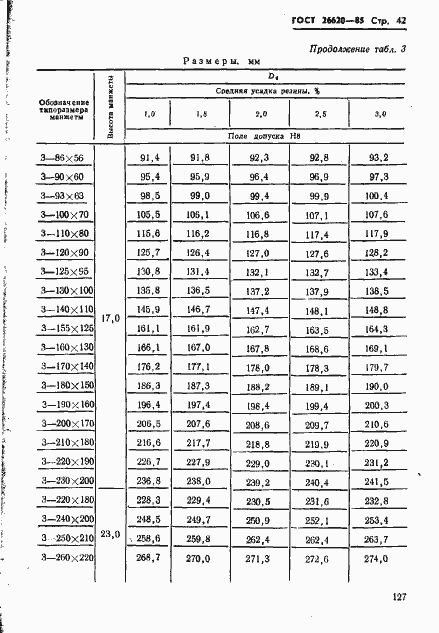
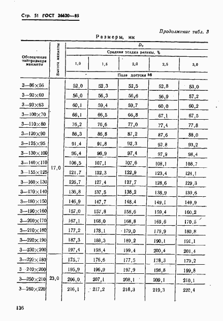
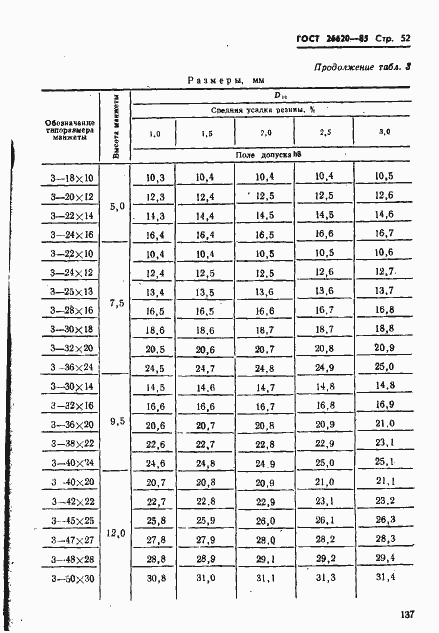
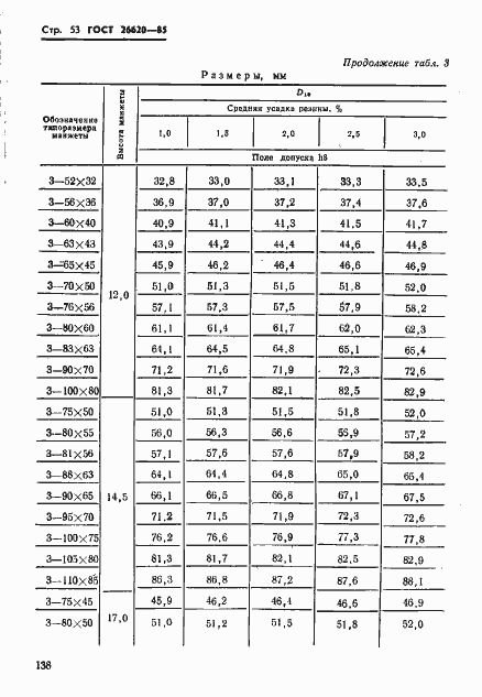
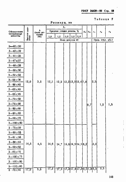
Настоящий стандарт устанавливает исполнительные размеры формообразующих деталей пакетов съемных многоместных пресс-форм по ГОСТ 26616-85, трехкассетных пресс-форм по ГОСТ 26617-85, двухкассетных пресс-форм по ГОСТ 26618-85 и одноместных пресс-форм по ГОСТ 26619-85 для изготовления уплотнительных манжет по ГОСТ 14896-84 из резины с линейной послевулканизационной усадкой от 0,8 до 3,2 %
Связи и замены
Заменяющий:
-
Описание стандарта
ГОСТ 26620-85 Пакеты съемных многоместных и кассетных пресс-форм и пресс-формы одноместные для изготовления манжет гидравлических устройств. Исполнительные размеры формообразующих деталей
Страницы стандарта


























































