ГОСТ Р ИСО 16140-2008 Микробиология продуктов питания и кормов для животных. Протокол валидации альтернативных методов
ГОСТ Р ИСО
Скачать ГОСТ в PDF или DOC бесплатно
Основная информация
Обозначение:
ГОСТ Р ИСО 16140-2008
Статус:
Отменен
Тип:
ГОСТ Р ИСО
Название русское:
Микробиология продуктов питания и кормов для животных. Протокол валидации альтернативных методов
Название английское:
Microbiology of food and animal feeding stuffs. Protocol for the validation of alternative methods
Даты и сроки
Дата издания:
05-05-10
Дата введения в действие:
01-01-10
Дата завершения срока действия:
01-01-13
Применение и описание
Область и условия применения:
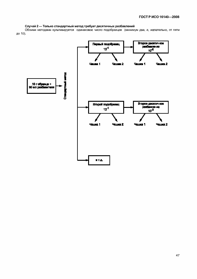
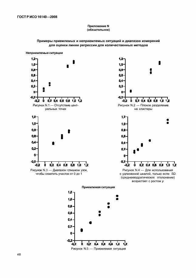
Настоящий стандарт устанавливает основной принцип и технический протокол валидации альтернативных методов в сфере микробиологического анализа пищевых продуктов, кормов для животных, образцов окружающей среды и ветеринарных образцов для: - валидации альтернативных методов, которые можно использовать, в частности, в рамках официального контроля; - международного признания результатов, полученных альтернативным методом. Настоящий стандарт также устанавливает основные принципы сертификации альтернативных методов, основанные на протоколе валидации, определенном в стандарте. В тех случаях, когда альтернативный метод применяется на постоянной основе для внутрилабораторного использования и не требуется соответствие (более высоким) сторонним критериям контроля качества, может оказаться достаточной менее строгая сравнительная валидация альтернативного метода
Связи и замены
Заменяющий:
-
Изменения и переиздания
Список изменений:
№0 от (рег. ) «Текстовое изменение; Изменено заглавие»
Описание стандарта
ГОСТ Р ИСО 16140-2008 Микробиология продуктов питания и кормов для животных. Протокол валидации альтернативных методов
Страницы стандарта

































































