ГОСТ 14923-78 Эмали ПФ-223. Технические условия
ГОСТ
Скачать ГОСТ в PDF или DOC бесплатно
Основная информация
Обозначение:
ГОСТ 14923-78
Статус:
Действует
Тип:
ГОСТ
Название русское:
Эмали ПФ-223. Технические условия
Название английское:
Enamels ПФ-223. Specifications
Даты и сроки
Дата издания:
03-01-99
Дата введения в действие:
06-30-79
Применение и описание
Область и условия применения:
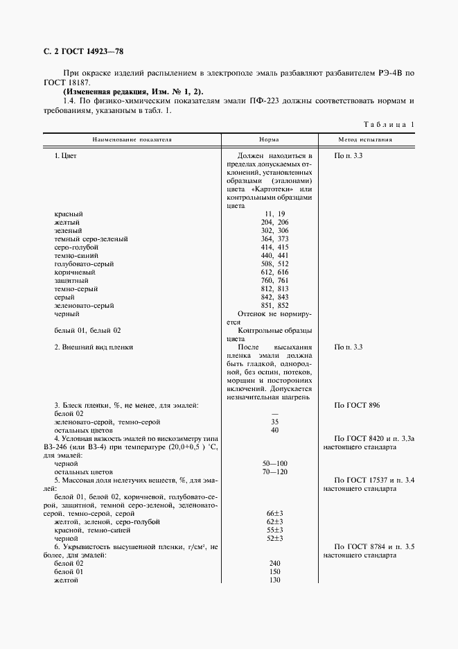
Настоящий стандарт распространяется на эмали ПФ-223 различных цветов, представляющие собой суспензию пигментов в пентафталевом лаке с добавлением сиккатива и растворителей. Эмали предназначаются для окрашивания металлических поверхностей и поверхностей из древесины, эксплуатируемых внутри помещений. Пленки эмалей устойчивы к изменению температуры от минус 40 до 60 град. С. Эмали наносят на поверхность (по грунтовке или без нее) методами пневматического, безвоздушного распыления, распылением в электрополе и кистью
Связи и замены
Взамен:
ГОСТ 14923-69
Изменения и переиздания
Список изменений:
№0 от (рег. ) «Дата введения перенесена» №1 от (рег. ) «Срок действия продлен» №2 от (рег. ) «Срок действия продлен» №3 от (рег. ) «Срок действия продлен»
Описание стандарта
ГОСТ 14923-78 Эмали ПФ-223. Технические условия
Страницы стандарта












Приложение №4: Поправка к ГОСТ 14923-78 Обозначение: Поправка к ГОСТ 14923-78 Дата введения в действие: 05.03.2014
