ГОСТ 23343-78 Грунтовка ГФ-0119. Технические условия
ГОСТ
Скачать ГОСТ в PDF или DOC бесплатно
Основная информация
Обозначение:
ГОСТ 23343-78
Статус:
Действует
Тип:
ГОСТ
Название русское:
Грунтовка ГФ-0119. Технические условия
Название английское:
Primer ГФ-0119. Specifications
Даты и сроки
Дата издания:
12-01-05
Дата введения в действие:
01-01-80
Дата завершения срока действия:
-
Применение и описание
Область и условия применения:
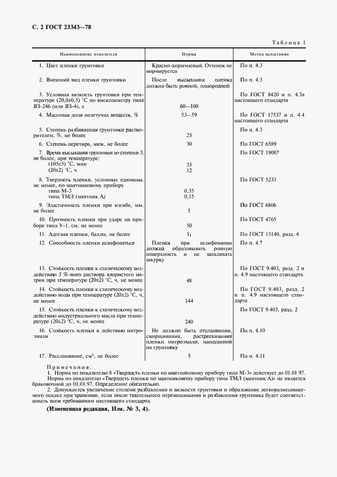
Настоящий стандарт распространяется на грунтовку ГФ-0119, представляющую собой суспензию пигментов и наполнителей в алкидном лаке, с добавлением растворителей, сиккатива и стабилизирующих веществ
Связи и замены
Заменяющий:
-
Изменения и переиздания
Список изменений:
№1 от (рег. ) «Срок действия продлен» №2 от (рег. ) «Срок действия продлен» №3 от (рег. ) «Срок действия продлен» №4 от (рег. ) «Срок действия продлен»
Описание стандарта
ГОСТ 23343-78 Грунтовка ГФ-0119. Технические условия
Страницы стандарта







