ГОСТ 6465-76 Эмали ПФ-115. Технические условия
ГОСТ
Скачать ГОСТ в PDF или DOC бесплатно
Основная информация
Обозначение:
ГОСТ 6465-76
Статус:
Заменен
Тип:
ГОСТ
Название русское:
Эмали ПФ-115. Технические условия
Название английское:
Enamels ПФ-115. Specifications
Даты и сроки
Дата издания:
05-01-04
Дата введения в действие:
06-30-77
Дата завершения срока действия:
06-01-24
Применение и описание
Область и условия применения:
Настоящий стандарт распространяется на эмали ПФ-115 различных цветов, представляющие собой суспензии двуокиси титана рутильной формы и других пигментов и наполнителей в пентафталевом лаке с добавлением сиккатива и растворителей
Связи и замены
Заменяющий:
ГОСТ 6465-2023
Взамен:
ГОСТ 6465-63;ГОСТ 5.820-71
Изменения и переиздания
Список изменений:
№1 от (рег. ) «Срок действия продлен» №2 от (рег. ) «Срок действия продлен» №3 от (рег. ) «Срок действия продлен» №4 от (рег. ) «Срок действия продлен» №5 от (рег. ) «Текстовое изменение; Изменены ссылочные НД»
Описание стандарта
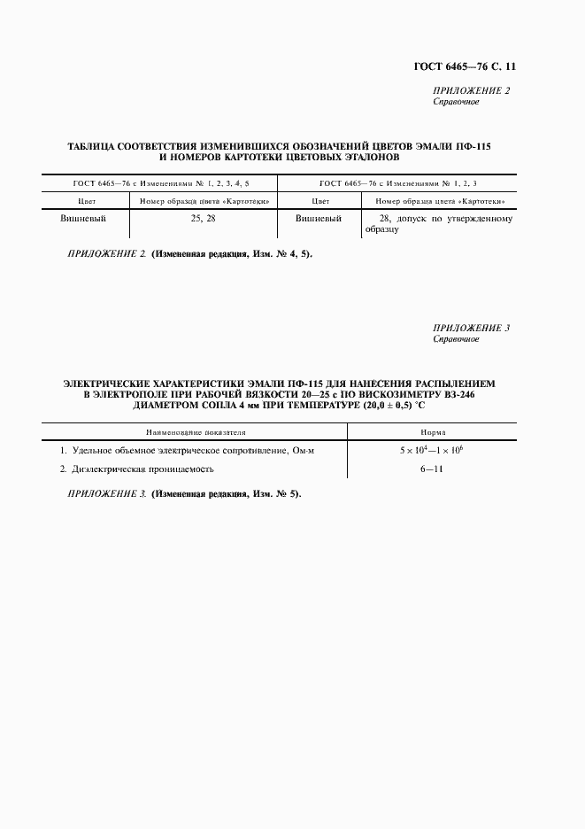
ГОСТ 6465-76 Эмали ПФ-115. Технические условия
Страницы стандарта














Приложение №5: Изменение №5 к ГОСТ 6465-76 Обозначение: Изменение №5 к ГОСТ 6465-76 Дата введения в действие: 01.01.2003

Приложение №5: Изменение №5 к ГОСТ 6465-76 Обозначение: Изменение №5 к ГОСТ 6465-76 Дата введения в действие: 01.01.2003

Приложение №5: Изменение №5 к ГОСТ 6465-76 Обозначение: Изменение №5 к ГОСТ 6465-76 Дата введения в действие: 01.01.2003

Приложение №5: Изменение №5 к ГОСТ 6465-76 Обозначение: Изменение №5 к ГОСТ 6465-76 Дата введения в действие: 01.01.2003

Приложение №5: Изменение №5 к ГОСТ 6465-76 Обозначение: Изменение №5 к ГОСТ 6465-76 Дата введения в действие: 01.01.2003

Приложение №5: Изменение №5 к ГОСТ 6465-76 Обозначение: Изменение №5 к ГОСТ 6465-76 Дата введения в действие: 01.01.2003

Приложение №5: Изменение №5 к ГОСТ 6465-76 Обозначение: Изменение №5 к ГОСТ 6465-76 Дата введения в действие: 01.01.2003

Приложение №5: Изменение №5 к ГОСТ 6465-76 Обозначение: Изменение №5 к ГОСТ 6465-76 Дата введения в действие: 01.01.2003
