ГОСТ Р 54085-2010 Продукты пищевые. Метод выявления бактерий рода Shigella
ГОСТ Р
Скачать ГОСТ в PDF или DOC бесплатно
Основная информация
Обозначение:
ГОСТ Р 54085-2010
Статус:
Отменен
Тип:
ГОСТ Р
Название русское:
Продукты пищевые. Метод выявления бактерий рода Shigella
Название английское:
Food products. Method for detection of Shigella species bacteria
Даты и сроки
Дата издания:
11-02-11
Дата введения в действие:
01-01-12
Дата завершения срока действия:
02-15-15
Применение и описание
Область и условия применения:
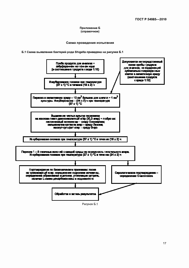
Настоящий стандарт распространяется на пищевые продукты и устанавливает метод выявления в определенной массе или объеме пищевого продукта бактерий рода Shigella
Связи и замены
Заменяющий:
-
Изменения и переиздания
Список изменений:
№0 от (рег. ) «Текстовое изменение; Изменено заглавие»
Описание стандарта
ГОСТ Р 54085-2010 Продукты пищевые. Метод выявления бактерий рода Shigella
Страницы стандарта























