ГОСТ Р 59198-2020 Плиты подоконные железобетонные. Технические условия
ГОСТ Р
Скачать ГОСТ в PDF или DOC бесплатно
Основная информация
Обозначение:
ГОСТ Р 59198-2020
Статус:
Действует
Тип:
ГОСТ Р
Название русское:
Плиты подоконные железобетонные. Технические условия
Название английское:
Reinforced concrete window boards. Specifications
Даты и сроки
Дата издания:
12-10-20
Дата введения в действие:
01-01-21
Дата завершения срока действия:
-
Применение и описание
Область и условия применения:
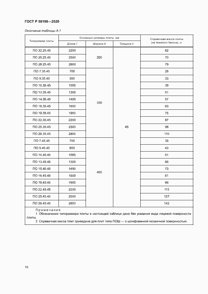
Настоящий стандарт распространяется на подоконные железобетонные плиты (далее – плиты), изготовляемые из тяжелого, мелкозернистого, легкого конструкционного и плотного силикатного бетона и предназначенные для применения в жилых, общественных и производственных зданиях, а также во вспомогательных зданиях промышленных и сельскохозяйственных предприятий
Связи и замены
Заменяющий:
-
Описание стандарта
ГОСТ Р 59198-2020 Плиты подоконные железобетонные. Технические условия
Страницы стандарта














