ГОСТ 18979-90 Колонны железобетонные для многоэтажных зданий. Технические условия
ГОСТ
Скачать ГОСТ в PDF или DOC бесплатно
Основная информация
Обозначение:
ГОСТ 18979-90
Статус:
Заменен
Тип:
ГОСТ
Название русское:
Колонны железобетонные для многоэтажных зданий. Технические условия
Название английское:
Reinforced concrete columns for multi-storey buildings. Specifications
Даты и сроки
Дата издания:
06-01-90
Дата введения в действие:
06-30-90
Дата завершения срока действия:
07-01-15
Применение и описание
Область и условия применения:
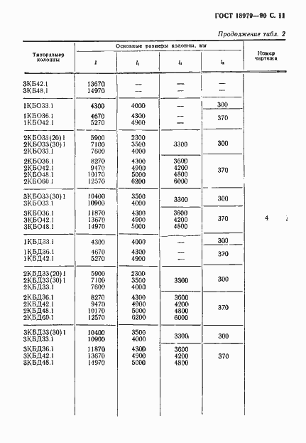
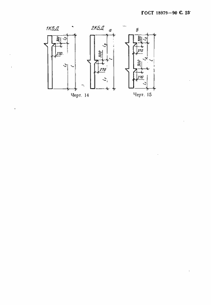
Настоящий стандарт распространяется на железобетонные колонны сплошного прямоугольного поперечного сечения, изготовляемые из тяжелого бетона и предназначенные для каркасов многоэтажных общественных зданий, производственных, административных и бытовых зданий промышленных предприятий
Связи и замены
Заменяющий:
ГОСТ 18979-2014
Описание стандарта
ГОСТ 18979-90 Колонны железобетонные для многоэтажных зданий. Технические условия
Страницы стандарта


























