ГОСТ 19231.1-83 Плиты железобетонные для покрытий трамвайных путей. Конструкция и размеры
ГОСТ
Скачать ГОСТ в PDF или DOC бесплатно
Основная информация
Обозначение:
ГОСТ 19231.1-83
Статус:
Заменен
Тип:
ГОСТ
Название русское:
Плиты железобетонные для покрытий трамвайных путей. Конструкция и размеры
Название английское:
Reinforced concrete slabs for tramway track pavements. Structure and dimensions
Даты и сроки
Дата издания:
02-01-84
Дата введения в действие:
01-01-84
Дата завершения срока действия:
-
Применение и описание
Область и условия применения:
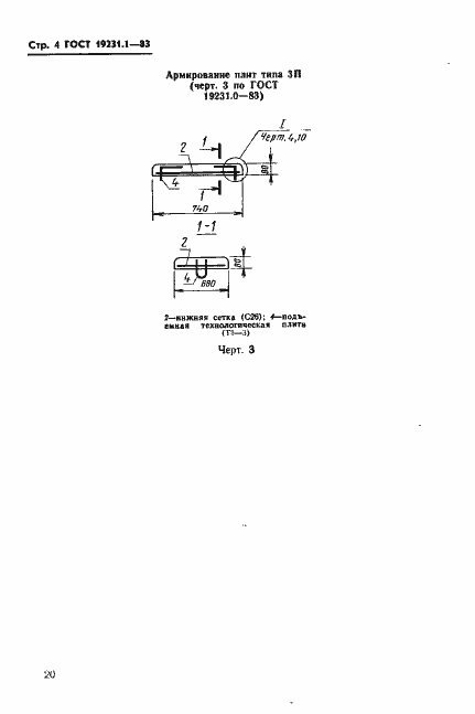
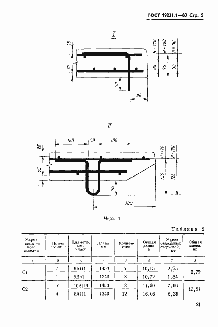
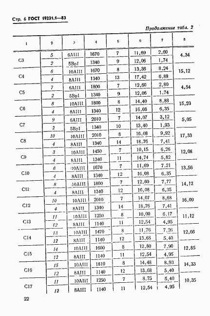
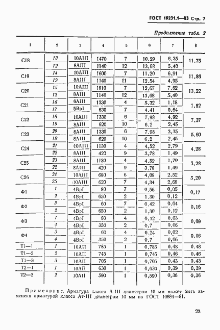
Настоящий стандарт распространяется на железобетонные плиты типов 1П, 2П и 3П, изготовляемые из тяжелого бетона и предназначенные для устройства покрытий трамвайных путей, и устанавливает конструкцию плит и арматурных изделий к ним
Связи и замены
Заменяющий:
-
Описание стандарта
ГОСТ 19231.1-83 Плиты железобетонные для покрытий трамвайных путей. Конструкция и размеры
Страницы стандарта















