ГОСТ 19804.3-80 Сваи забивные железобетонные квадратного сечения с круглой полостью. Конструкция и размеры
ГОСТ
Скачать ГОСТ в PDF или DOC бесплатно
Основная информация
Обозначение:
ГОСТ 19804.3-80
Статус:
Утратил силу в РФ
Тип:
ГОСТ
Название русское:
Сваи забивные железобетонные квадратного сечения с круглой полостью. Конструкция и размеры
Название английское:
Reinforced concrete driven piles of square cross-section with inner round cave. Construction and dimensions
Даты и сроки
Дата издания:
09-01-83
Дата введения в действие:
06-30-81
Дата завершения срока действия:
09-01-22
Применение и описание
Область и условия применения:
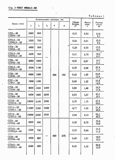
Настоящий стандарт распространяется на забивные железобетонные сваи квадратного сечения с круглой полостью с ненапрягаемой и напрягаемой продольной арматурой и устанавливает конструкцию свай и арматурных изделий к ним
Связи и замены
Заменяющий:
-
Изменения и переиздания
Список изменений:
№1 от (рег. ) «Срок действия продлен»
Описание стандарта
ГОСТ 19804.3-80 Сваи забивные железобетонные квадратного сечения с круглой полостью. Конструкция и размеры
Страницы стандарта





















