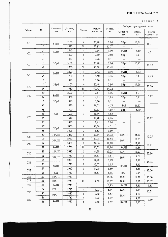
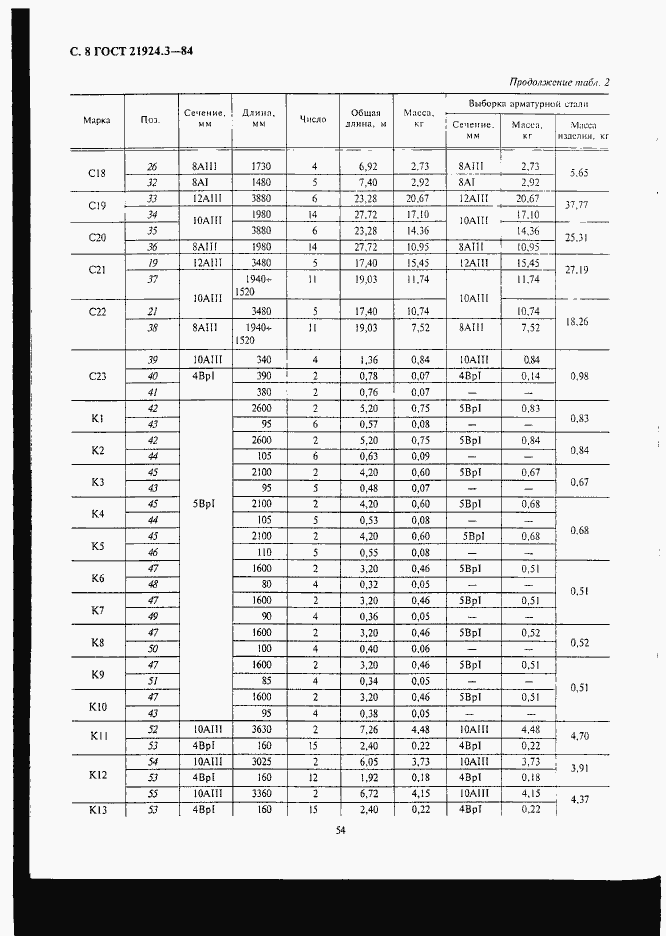
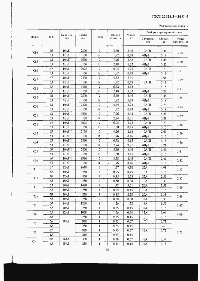
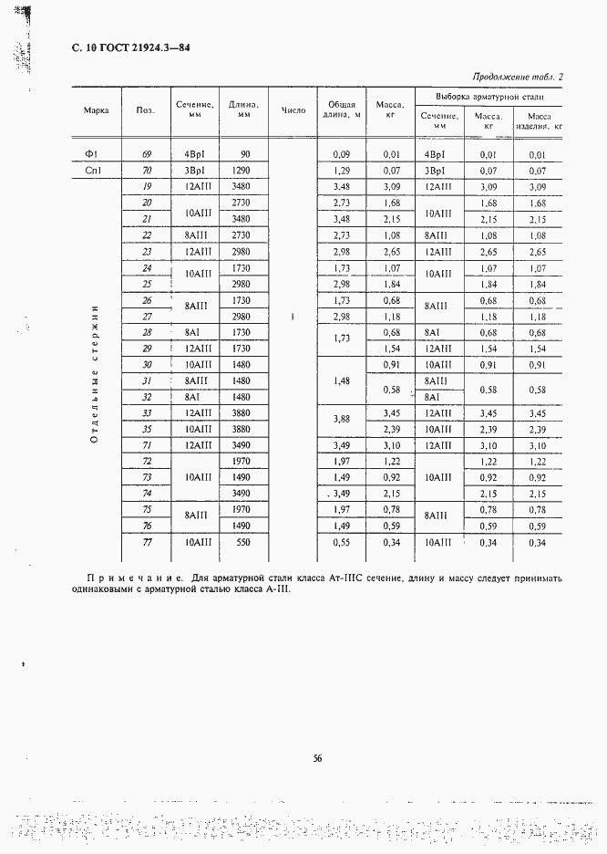
ГОСТ 21924.3-84 Плиты железобетонные для покрытий городских дорог. Арматурные и монтажно-стыковые изделия. Конструкция и размеры
ГОСТ
Скачать ГОСТ в PDF или DOC бесплатно
Основная информация
Обозначение:
ГОСТ 21924.3-84
Статус:
Заменен
Тип:
ГОСТ
Название русское:
Плиты железобетонные для покрытий городских дорог. Арматурные и монтажно-стыковые изделия. Конструкция и размеры
Название английское:
Reinforced concrete slabs for pavements of city roads. Structure fittings products. Structure and dimensions
Даты и сроки
Дата издания:
03-01-02
Дата введения в действие:
01-01-85
Дата завершения срока действия:
08-01-24
Применение и описание
Область и условия применения:
Настоящий стандарт распространяется на арматурные и монтажно-стыковые изделия железобетонных предварительно напряженных плит по ГОСТ 21924.1 и плит с ненапрягаемой арматурой по ГОСТ 21924.2, предназначенные для устройства постоянных и временных городских дорог
Связи и замены
Заменяющий:
ГОСТ 21924-2024
Изменения и переиздания
Список изменений:
№1 от (рег. ) «Срок действия продлен»
Описание стандарта
ГОСТ 21924.3-84 Плиты железобетонные для покрытий городских дорог. Арматурные и монтажно-стыковые изделия. Конструкция и размеры
Страницы стандарта










