ГОСТ 22687.1-85 Стойки конические железобетонные центрифугированные для опор высоковольтных линий электропередачи. Конструкция и размеры
ГОСТ
Скачать ГОСТ в PDF или DOC бесплатно
Основная информация
Обозначение:
ГОСТ 22687.1-85
Статус:
Действует
Тип:
ГОСТ
Название русское:
Стойки конические железобетонные центрифугированные для опор высоковольтных линий электропередачи. Конструкция и размеры
Название английское:
Centrifugal reinforced conic reinforced concrete posts for high-voltage transmission lines. Structure and dimensions
Даты и сроки
Дата издания:
01-28-86
Дата введения в действие:
01-01-86
Дата завершения срока действия:
-
Применение и описание
Область и условия применения:
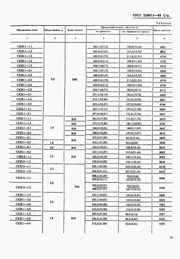
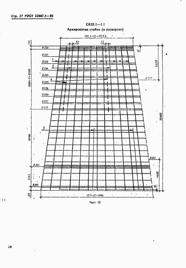
Настоящий стандарт распространяется на железобетонные предварительно напряженные конические стойки кольцевого сечения, изготовляемые методом центрифугирования из тяжелого бетона и предназначенные для опор линий электропередачи напряжением 35-750 кВ, и устанавливает конструкцию указанных стоек
Связи и замены
Заменяющий:
-
Описание стандарта
ГОСТ 22687.1-85 Стойки конические железобетонные центрифугированные для опор высоковольтных линий электропередачи. Конструкция и размеры
Страницы стандарта









































































