ГОСТ 22687.3-85 Стойки железобетонные центрифугированные для опор высоковольтных линий электропередачи. Конструкция закладных изделий и подпятников
ГОСТ
Скачать ГОСТ в PDF или DOC бесплатно
Основная информация
Обозначение:
ГОСТ 22687.3-85
Статус:
Действует
Тип:
ГОСТ
Название русское:
Стойки железобетонные центрифугированные для опор высоковольтных линий электропередачи. Конструкция закладных изделий и подпятников
Название английское:
Centrifugal reinforced concrete posts for high-voltage transmission lines. Structure and fitting products
Даты и сроки
Дата издания:
05-28-86
Дата введения в действие:
01-01-86
Дата завершения срока действия:
-
Применение и описание
Область и условия применения:
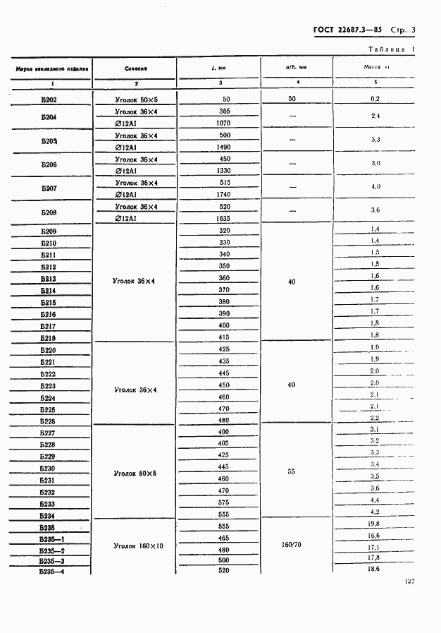
Настоящий стандарт распространяется на закладные изделия и подпятники для железобетонных центрифугированных конических и цилиндрических стоек кольцевого сечения, предназначенных для опор линий электропередачи напряжением 35-750 кВ, и устанавливает конструкцию указанных закладных изделий и подпятников
Связи и замены
Заменяющий:
-
Описание стандарта
ГОСТ 22687.3-85 Стойки железобетонные центрифугированные для опор высоковольтных линий электропередачи. Конструкция закладных изделий и подпятников
Страницы стандарта











