ГОСТ 23444-79 Стойки железобетонные центрифугированные кольцевого сечения для производственных зданий и инженерных сооружений. Технические условия
ГОСТ
Скачать ГОСТ в PDF или DOC бесплатно
Основная информация
Обозначение:
ГОСТ 23444-79
Статус:
Действует
Тип:
ГОСТ
Название русское:
Стойки железобетонные центрифугированные кольцевого сечения для производственных зданий и инженерных сооружений. Технические условия
Название английское:
Centrifugated reinforced concrete posts of annular section for industrial buildings and structures. Specifications
Даты и сроки
Дата издания:
07-10-79
Дата введения в действие:
01-01-80
Дата завершения срока действия:
-
Применение и описание
Область и условия применения:
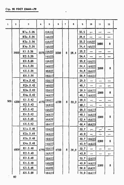
Настоящий стандарт распространяется на железобетонные стойки кольцевого сечения, изготовляемые методом центрифугирования из тяжелого бетона и предназначаемые для использования в качестве колонн производственных зданий без мостовых кранов промышленных и сельскохозяйственных предприятий и стоек инженерных сооружений, эксплуатируемых а неагрессивных и агрессивных газовых средах. Требования настоящего стандарта распространяются также на стойки, предназначаемые для использования в зданиях и сооружениях с расчетной сейсмичностью 7, 8 и 9 баллов
Связи и замены
Заменяющий:
-
Описание стандарта
ГОСТ 23444-79 Стойки железобетонные центрифугированные кольцевого сечения для производственных зданий и инженерных сооружений. Технические условия
Страницы стандарта
























































































































































