ГОСТ 26819-86 Трубы железобетонные напорные со стальным сердечником. Технические условия
ГОСТ
Скачать ГОСТ в PDF или DOC бесплатно
Основная информация
Обозначение:
ГОСТ 26819-86
Статус:
Действует
Тип:
ГОСТ
Название русское:
Трубы железобетонные напорные со стальным сердечником. Технические условия
Название английское:
Reinforced concrete pressure pipes with steel core. Specifications
Даты и сроки
Дата издания:
05-30-86
Дата введения в действие:
01-01-87
Дата завершения срока действия:
-
Применение и описание
Область и условия применения:
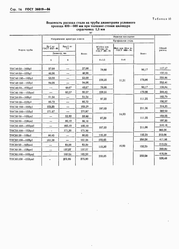
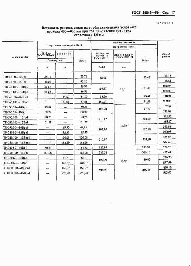
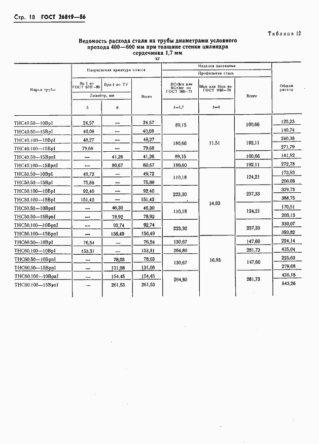
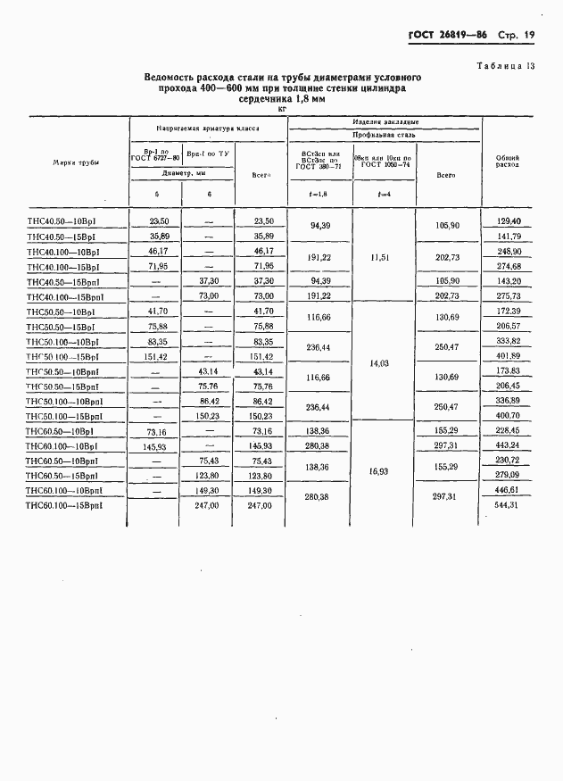
Настоящий стандарт распространяется на железобетонные предварительно напряженные напорные раструбные трубы со стальным сердечником (типа ТНС) классов Н10 и Н15 по ГОСТ 22000-86, изготовляемые из мелкозернистого бетона и предназначенные для прокладки напорных трубопроводов, по которым транспортируют жидкости температурой не выше 40 град. С и с неагрессивной степенью воздействия на железобетонные конструкции и уплотняющие резиновые кольца стыковых соединений. Стандарт не распространяется на водопропускные трубы, укладываемые под насыпями железных и автомобильных дорог
Связи и замены
Заменяющий:
-
Изменения и переиздания
Список изменений:
№1 от (рег. ) «Срок действия продлен»
Описание стандарта
ГОСТ 26819-86 Трубы железобетонные напорные со стальным сердечником. Технические условия
Страницы стандарта





























