ГОСТ 6482-88 Трубы железобетонные безнапорные. Технические условия
ГОСТ
Скачать ГОСТ в PDF или DOC бесплатно
Основная информация
Обозначение:
ГОСТ 6482-88
Статус:
Заменен
Тип:
ГОСТ
Название русское:
Трубы железобетонные безнапорные. Технические условия
Название английское:
Reinforced concrete non-pressure pipes. Specifications
Даты и сроки
Дата издания:
05-15-89
Дата введения в действие:
01-01-90
Дата завершения срока действия:
01-01-13
Применение и описание
Область и условия применения:
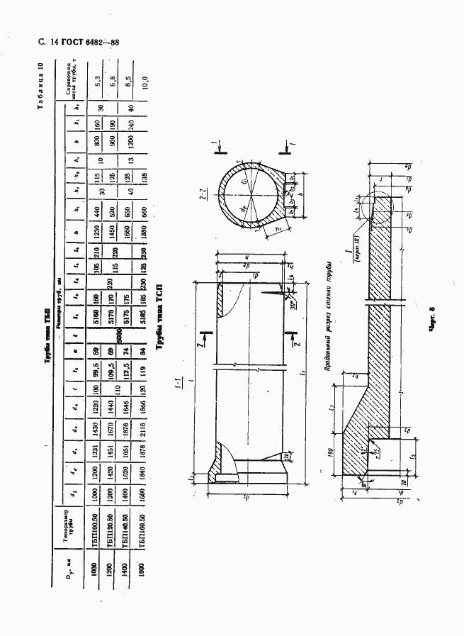
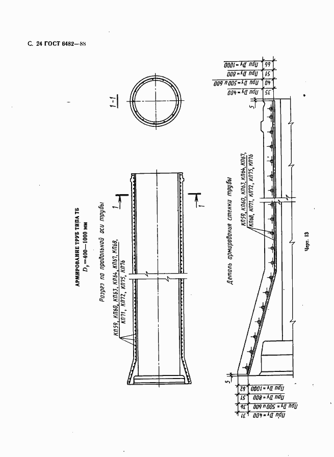
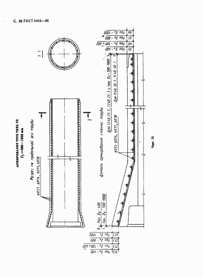
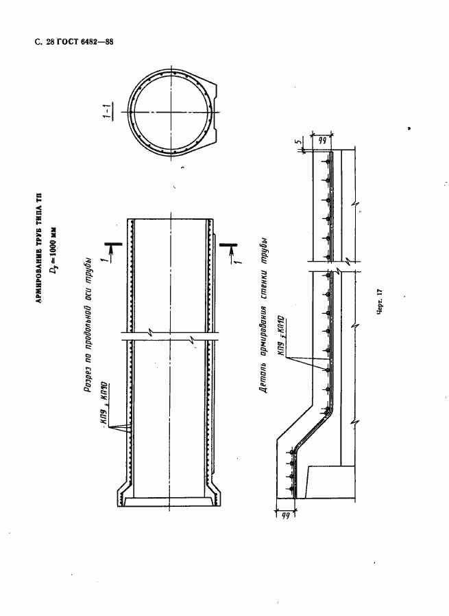
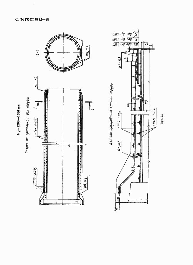
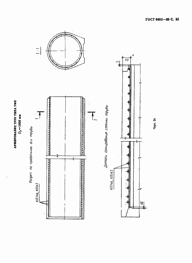
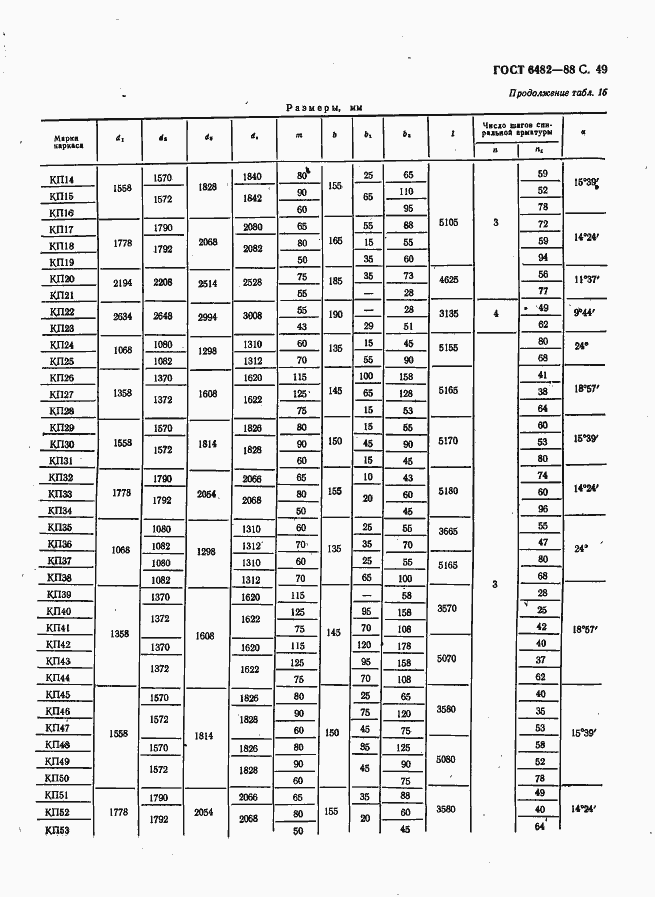
Настоящий стандарт распространяется на железобетонные безнапорные раструбные и фальцевые трубы с круглым отверстием, изготовляемые из тяжелого бетона и предназначенные для прокладки подземных трубопроводов, транспортирующих самотеком бытовые жидкости и атмосферные сточные воды, а также подземные воды и производственные жидкости, не агрессивные к железобетону и уплотняющим резиновым кольцам. Стандарт не распространяется на железобетонные водопропускные трубы, укладываемые под насыпями железных и автомобильных дорог
Связи и замены
Заменяющий:
ГОСТ 6482-2011
Взамен:
ГОСТ 6482.0-79;ГОСТ 6482.1-79
Описание стандарта
ГОСТ 6482-88 Трубы железобетонные безнапорные. Технические условия
Страницы стандарта















































































