ГОСТ 18979-2014 Колонны железобетонные для многоэтажных зданий. Технические условия
ГОСТ
Скачать ГОСТ в PDF или DOC бесплатно
Основная информация
Обозначение:
ГОСТ 18979-2014
Статус:
Действует
Тип:
ГОСТ
Название русское:
Колонны железобетонные для многоэтажных зданий. Технические условия
Название английское:
Reinforced concrete columns for multistory buildings. Specification
Даты и сроки
Дата регистрации:
09-30-14
Дата издания:
11-21-19
Дата введения в действие:
07-01-15
Дата завершения срока действия:
-
Применение и описание
Область и условия применения:
Настоящий стандарт устанавливает требования к изготовлению железобетонных колонн сплошного прямоугольного поперечного сечения из тяжелого бетона, предназначенных для каркасов многоэтажных общественных зданий, производственных, административных и бытовых зданий промышленных предприятий
Связи и замены
Заменяющий:
-
Взамен:
ГОСТ 18979-90
Описание стандарта
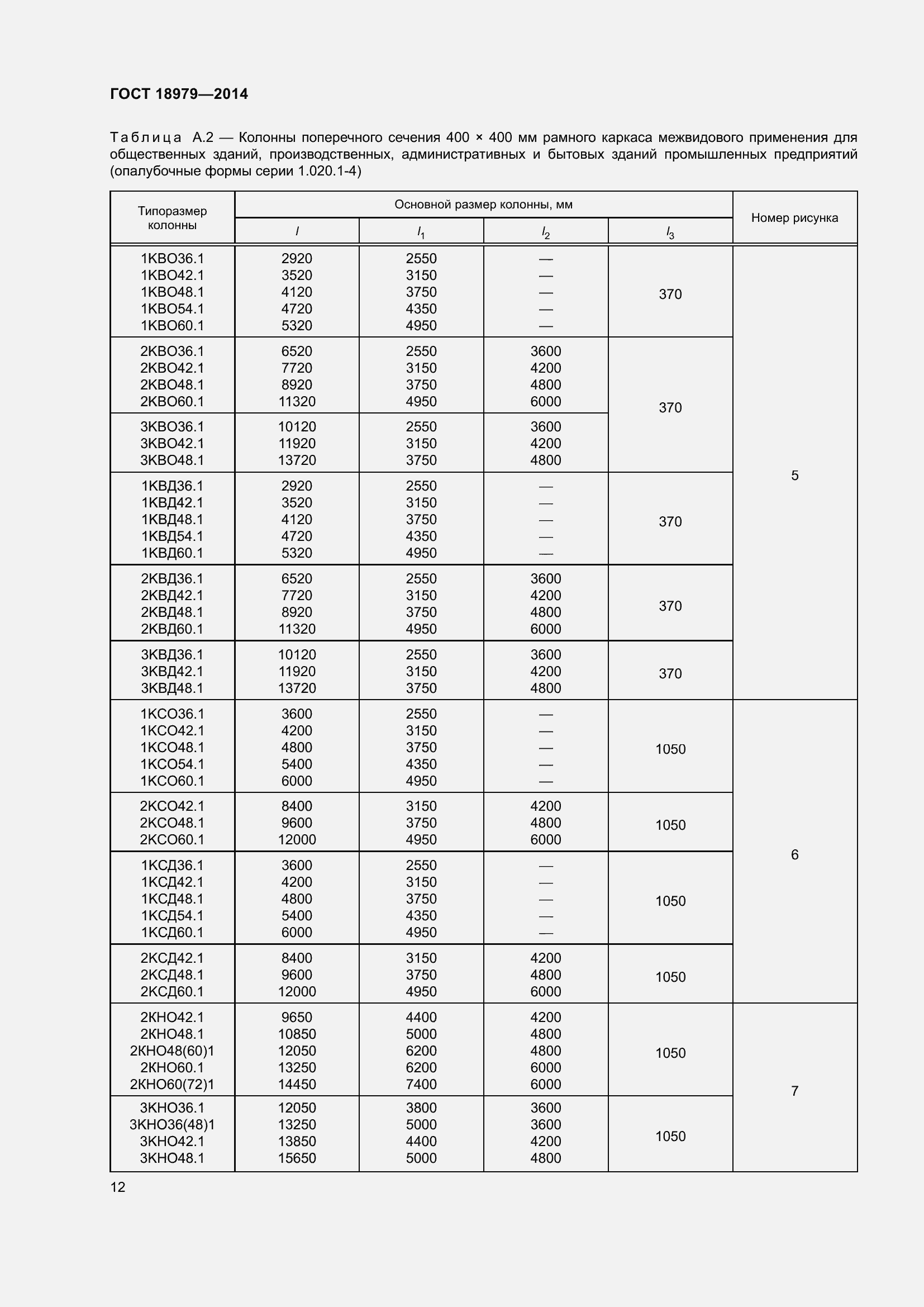
ГОСТ 18979-2014 Колонны железобетонные для многоэтажных зданий. Технические условия
Страницы стандарта
























Приложение №1: Изменение №1 к ГОСТ 18979-2014 Обозначение: Изменение №1 к ГОСТ 18979-2014 Дата введения в действие: 01.09.2024

Приложение №1: Изменение №1 к ГОСТ 18979-2014 Обозначение: Изменение №1 к ГОСТ 18979-2014 Дата введения в действие: 01.09.2024

Приложение №1: Изменение №1 к ГОСТ 18979-2014 Обозначение: Изменение №1 к ГОСТ 18979-2014 Дата введения в действие: 01.09.2024

Приложение №1: Изменение №1 к ГОСТ 18979-2014 Обозначение: Изменение №1 к ГОСТ 18979-2014 Дата введения в действие: 01.09.2024
