ГОСТ 32488-2013 Панели стеновые наружные железобетонные из керамзитобетона для жилых и общественных зданий. Технические условия
ГОСТ
Скачать ГОСТ в PDF или DOC бесплатно
Основная информация
Обозначение:
ГОСТ 32488-2013
Статус:
Заменен
Тип:
ГОСТ
Название русское:
Панели стеновые наружные железобетонные из керамзитобетона для жилых и общественных зданий. Технические условия
Название английское:
Exterior wall panels of claydite-concrete for residential and public buildings. Specificatiоns
Даты и сроки
Дата регистрации:
11-14-13
Дата издания:
09-01-14
Дата введения в действие:
01-01-15
Дата завершения срока действия:
06-01-25
Применение и описание
Область и условия применения:
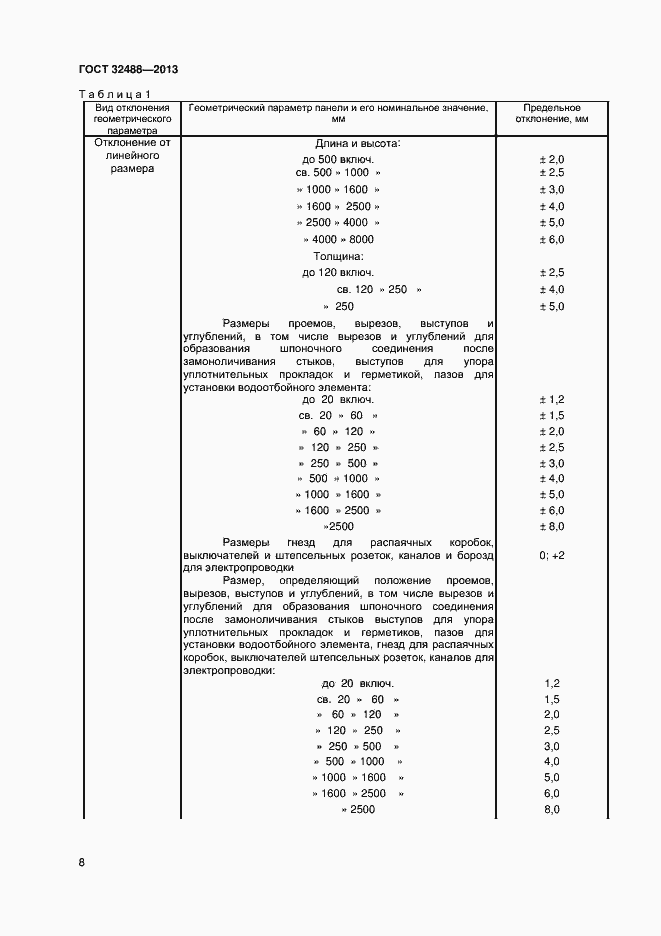
Настоящий стандарт распространяется на сплошные однослойные и двухслойные стеновые панели из керамзитобетона, предназначенные для наружных стен жилых и общественных зданий, и устанавливает требования к физико-механическим характеристикам и размерам панелей, материалам, применяемым для их изготовления, правила приемки, методы контроля.Настоящий стандарт не распространяется: - на составные панели; - трехслойные панели по ГОСТ 31310; - панели стен помещений с мокрым режимом; - заполнения оконных и дверных проемов в панелях
Связи и замены
Заменяющий:
ГОСТ 32488-2024
Описание стандарта
ГОСТ 32488-2013 Панели стеновые наружные железобетонные из керамзитобетона для жилых и общественных зданий. Технические условия
Страницы стандарта






















