ГОСТ 9818-2015 Марши и площадки лестниц железобетонные. Технические условия
ГОСТ
Скачать ГОСТ в PDF или DOC бесплатно
Основная информация
Обозначение:
ГОСТ 9818-2015
Статус:
Действует
Тип:
ГОСТ
Название русское:
Марши и площадки лестниц железобетонные. Технические условия
Название английское:
Reinforced concrete flights of steps and stair landings. General specifications
Даты и сроки
Дата регистрации:
05-29-15
Дата издания:
12-27-15
Дата введения в действие:
01-01-16
Дата завершения срока действия:
-
Применение и описание
Область и условия применения:
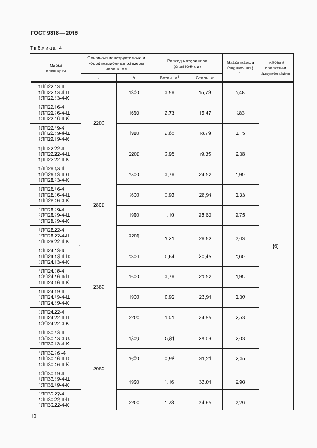
Настоящий стандарт устанавливает типы, основные параметры маршей и площадок лестниц, общие технические требования к ним, общие правила их приемки, методы контроля испытаний, маркировку, правила транспортирования и хранения. Настоящий стандарт распространяется на железобетонные марши, площадки и накладные проступи, изготовляемые из тяжелого бетона или легкого бетона (средней плотности от 1600 до 2000 кг/м куб. включительно) и предназначенные для устройства лестниц в зданиях различного назначения. Элементы лестниц, предназначенные для эксплуатации в среде с агрессивной степенью воздействия на железобетонные конструкции, должны удовлетворять требованиям настоящего стандарта и дополнительным указаниям проектной документации на здание, установленным с учетом действующих нормативных документов и технической документации
Связи и замены
Заменяющий:
-
Взамен:
ГОСТ 9818-85
Описание стандарта
ГОСТ 9818-2015 Марши и площадки лестниц железобетонные. Технические условия
Страницы стандарта


























