ГОСТ Р 52751-2007 Плиты из сталефибробетона для пролетных строений мостов. Технические условия
ГОСТ Р
Скачать ГОСТ в PDF или DOC бесплатно
Основная информация
Обозначение:
ГОСТ Р 52751-2007
Статус:
Действует
Тип:
ГОСТ Р
Название русское:
Плиты из сталефибробетона для пролетных строений мостов. Технические условия
Название английское:
Steel-fibro-concrete slabs for bridge spans. Specifications
Даты и сроки
Дата издания:
01-25-08
Дата введения в действие:
06-01-08
Дата завершения срока действия:
-
Применение и описание
Область и условия применения:
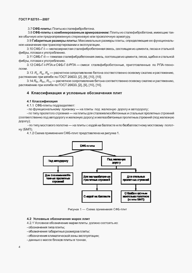
Настоящий стандарт распространяется на сборные железобетонные сплошные плиты с комбинированным армированием - (рабочая арматура и стальная фибра), предназначенные для применения в качестве несущей части сборных и сборно-монолитных сталежелезобетонных, железобетонных и стальных пролетных строений заводского изготовления для железнодорожных и автодорожных мостов преимущественно северного исполнения. Настоящий стандарт также распространяется на сталефибробетонные плиты, изготовленные с использованием тонких РПА-технологий с активацией воды затворения и добавок
Связи и замены
Заменяющий:
-
Описание стандарта
ГОСТ Р 52751-2007 Плиты из сталефибробетона для пролетных строений мостов. Технические условия
Страницы стандарта
























































