ГОСТ 8717-2016 Ступени бетонные и железобетонные. Технические условия
ГОСТ
Скачать ГОСТ в PDF или DOC бесплатно
Основная информация
Обозначение:
ГОСТ 8717-2016
Статус:
Действует
Тип:
ГОСТ
Название русское:
Ступени бетонные и железобетонные. Технические условия
Название английское:
Reinforced concrete and concrete steps. Specifications
Даты и сроки
Дата регистрации:
08-31-16
Дата издания:
04-03-17
Дата введения в действие:
05-01-17
Дата завершения срока действия:
-
Применение и описание
Область и условия применения:
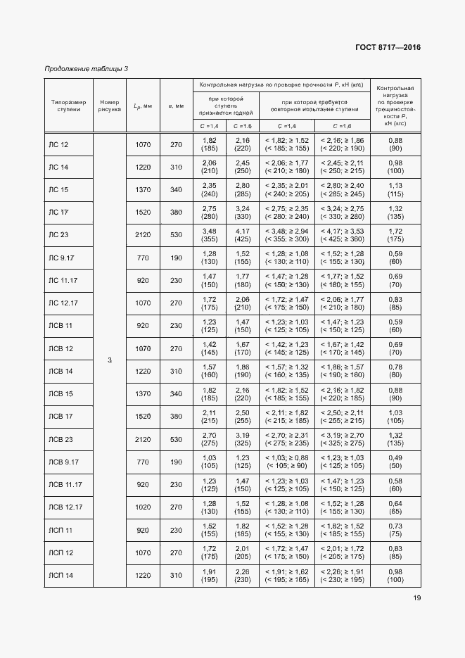
Настоящий стандарт устанавливает типы, основные параметры и размеры железобетонных ступеней, общие технические требования к ним, конструкции ступеней, арматурные и закладные изделия к ним. Настоящий стандарт распространяется на железобетонные, бетонные ступени, изготовленные из тяжелого и плотного силикатного бетонов и предназначенные для устройства внутренних и наружных лестниц зданий и сооружений
Связи и замены
Заменяющий:
-
Взамен:
ГОСТ 8717.0-84;ГОСТ 8717.1-84
Описание стандарта
ГОСТ 8717-2016 Ступени бетонные и железобетонные. Технические условия
Страницы стандарта




















































































